| Обозначение: |  ГОСТ Р 59872-2021 |
| Статус: | действующий |
| Название рус.: | Информационно-коммуникационные технологии в образовании. Интеллектуальные системы обеспечения безопасности производства. Общие положения |
| Название англ.: | Information and communication technologies in education. Intelligent systems for ensuring production safety. General regulations |
| Дата актуализации текста: | 01.01.2022 |
| Дата актуализации описания: | 01.07.2023 |
| Дата издания: | 23.12.2021 |
| Дата введения: | 01.02.2022 |
| Нормативные ссылки: | ГОСТ 12.0.002; ГОСТ 12.0.004; ГОСТ 33244; ГОСТ Р 57099; ГОСТ Р 58025; ГОСТ Р 58355; ГОСТ Р 52653; ГОСТ Р ИСО/МЭК 2382-36; ГОСТ Р 53114; ГОСТ Р ИСО/МЭК 9126; ГОСТ Р 57193 |
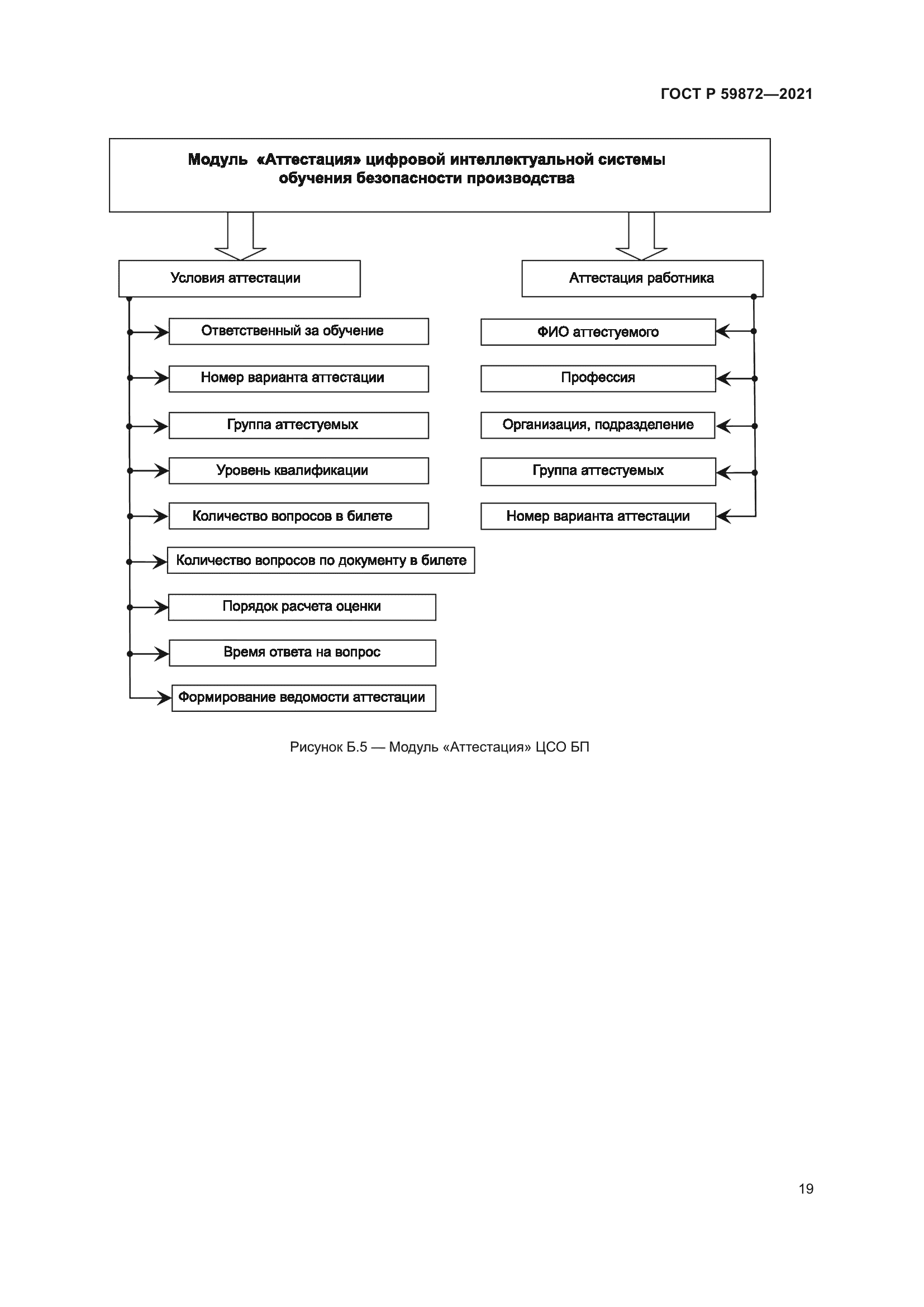
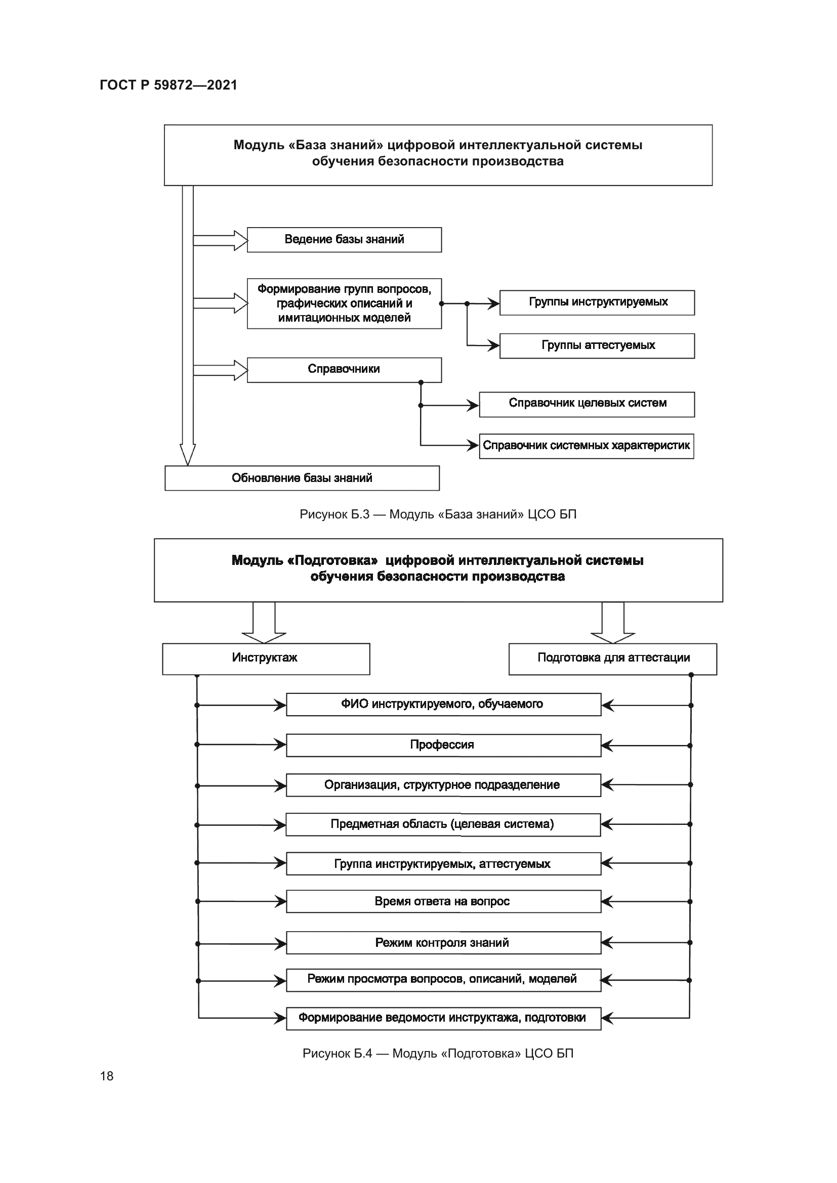
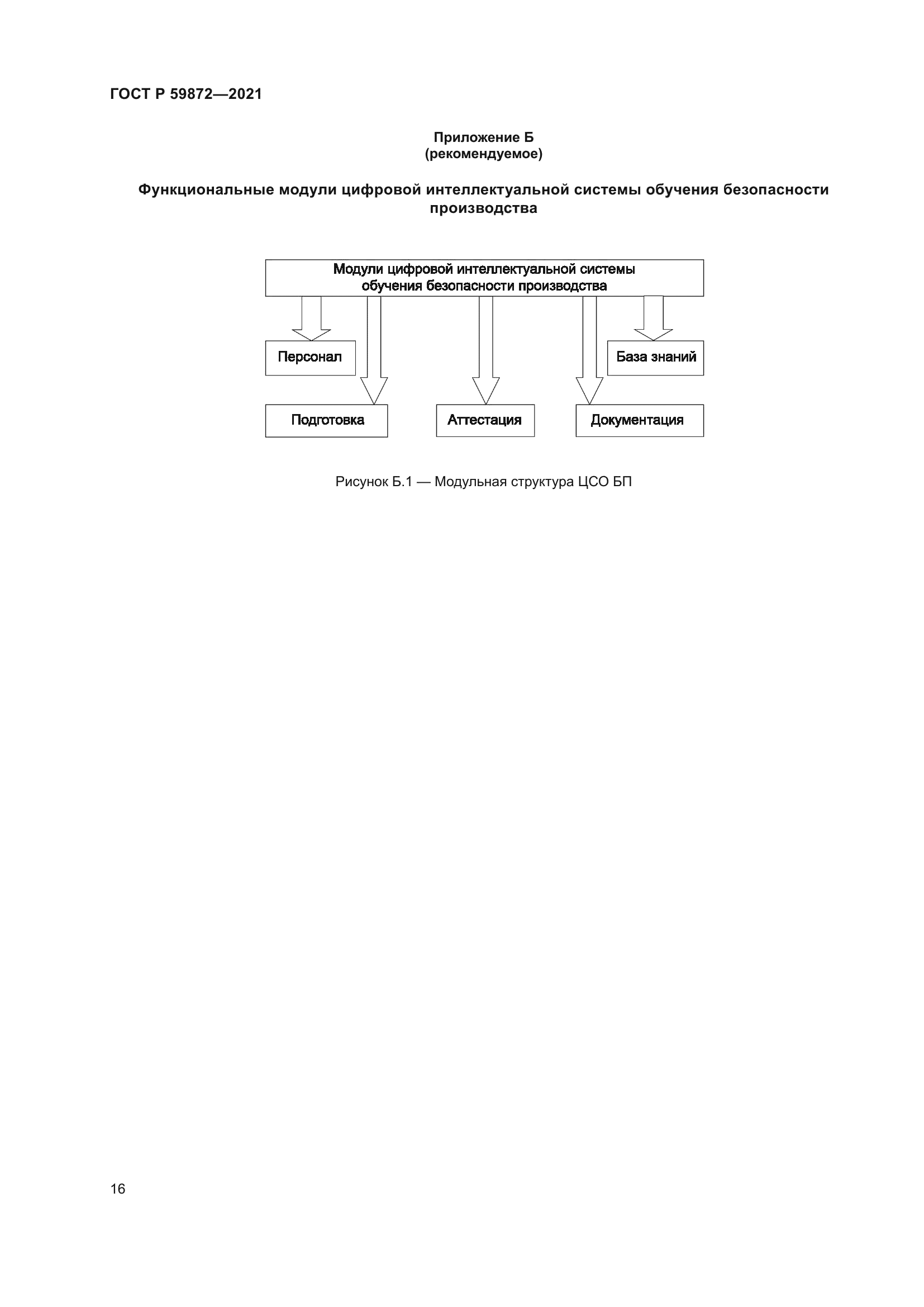
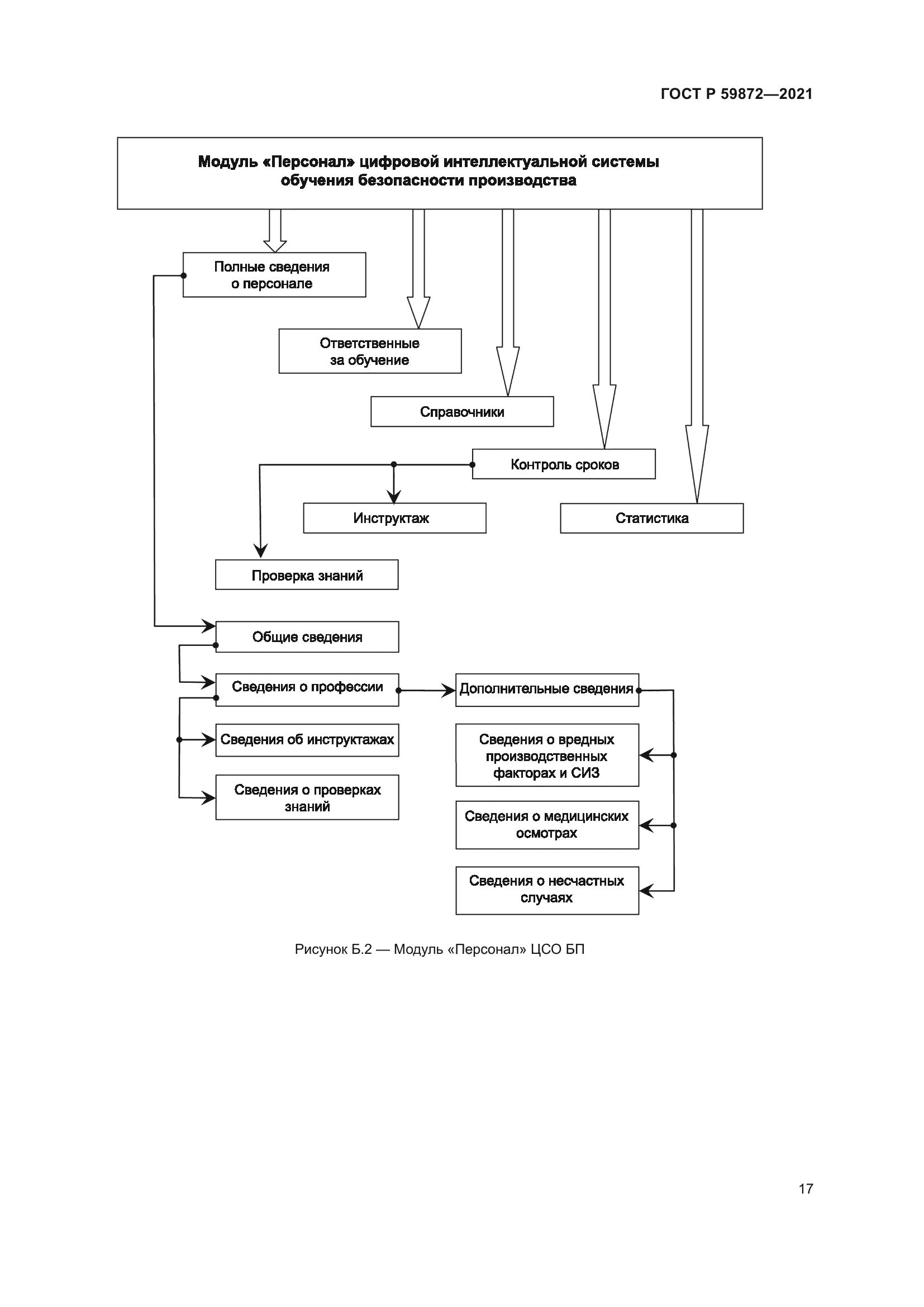
| Область применения: | Настоящий стандарт устанавливает требования к интеллектуальным системам обеспечения безопасности производства (ИСО БП), включая структуру, технологию построения, сопровождения и развития с использованием средств информационных и экспертных технологий и систем, применяемых в условиях реального производства, обеспечивающих эффективное функционирование служб безопасности производства и организацию качественной подготовки и переподготовки кадров. Основные положения стандарта применимы к любым организационным структурам с любой формой собственности и любым видам дистанционных технологий управления безопасностью производства. Настоящий стандарт устанавливает требования к обмену и объединению неоднородной информации, формализуемой в виде ресурсов ИСО БП, используемой во взаимосвязанных процессах цифрового обучения принятию безошибочных решений для создания безопасного производства, накопления, оценки и санкционированного обмена знаниями по безопасности производства |
|