Скачать ГОСТ Р 60.6.3.15-2021 Роботы и робототехнические устройства. Рабочие характеристики и соответствующие методы испытаний сервисных мобильных роботов. Часть 2. НавигацияДата актуализации: 01.06.2025 ГОСТ Р 60.6.3.15-2021
Роботы и робототехнические устройства. Рабочие характеристики и соответствующие методы испытаний сервисных мобильных роботов. Часть 2. Навигация
| Обозначение: |  ГОСТ Р 60.6.3.15-2021 |
| Статус: | действующий |
| Название рус.: | Роботы и робототехнические устройства. Рабочие характеристики и соответствующие методы испытаний сервисных мобильных роботов. Часть 2. Навигация | | Название англ.: | Robots and robotic devices. Performance criteria and related test methods for service mobile robots. Part 2. Navigation | | Дата актуализации текста: | 01.01.2022 | | Дата актуализации описания: | 01.07.2023 | | Дата издания: | 17.12.2021 | | Дата введения: | 01.03.2022 | | Аутентичен стандартам: | ISO 18646-2:2019 | | Нормативные ссылки: | ISO 7176-13;ISO 8373:2012 | | Область применения: | Настоящий стандарт определяет навигационные характеристики сервисных мобильных роботов и методы испытаний для их оценки. К навигационным характеристикам относят погрешность и повторяемость отработки пространственного расположения робота, а также способность обнаруживать и обходить препятствия. Существуют и другие навигационные характеристики, но они выходят за рамки области применения настоящего стандарта. Рабочие характеристики и соответствующие методы испытаний, установленные в настоящем стандарте, применимы только к мобильным платформам, находящимся в контакте с поверхностью перемещения. Для оценки рабочих характеристик манипуляторов применяют ИСО 9283. В настоящем стандарте установлены методы испытаний для закрытых помещений. Однако данные методы испытаний могут также быть применимы и к роботам, перемещающимся на открытом воздухе, как это показано в приложении А. Область применения настоящего стандарта не распространяется на верификацию или валидацию требований безопасности, а также на требования безопасности персонала, проводящего испытания | |
                  
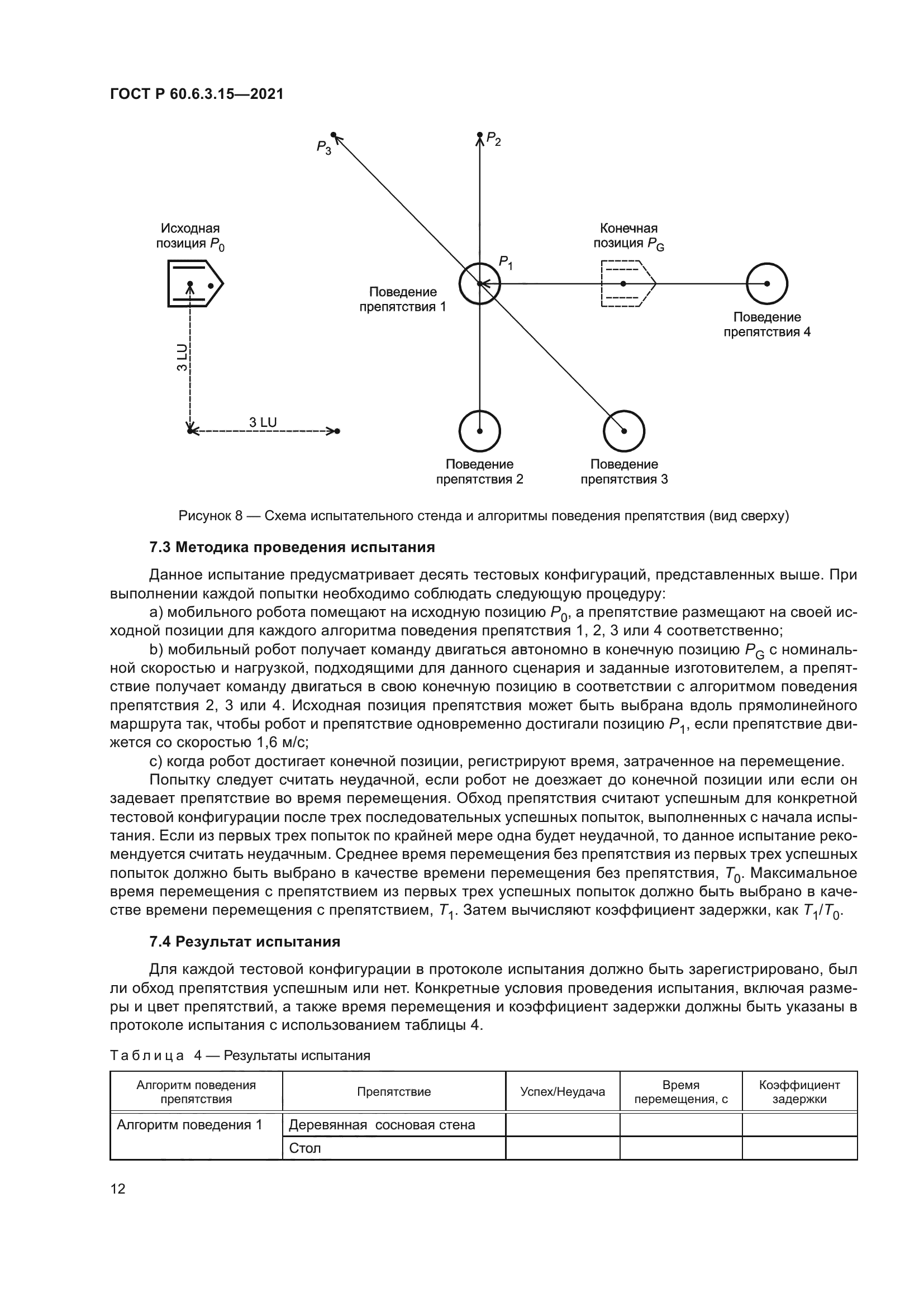
|