| Обозначение: |  ГОСТ 23198-2021 |
| Статус: | действующий |
| Название рус.: | Источники света электрические. Методы измерений спектральных и цветовых характеристик |
| Название англ.: | Electric light sources. Methods of measuring spectral and colour characteristics |
| Дата актуализации текста: | 01.01.2022 |
| Дата актуализации описания: | 01.07.2023 |
| Дата регистрации: | 22.10.2021 |
| Дата издания: | 22.11.2021 |
| Дата введения: | 01.03.2022 |
| Нормативные ссылки: | ГОСТ 8.195; ГОСТ 8.197; ГОСТ 8.205; ГОСТ 8.332; ГОСТ 8.654; ГОСТ 7601; ГОСТ 7721; ГОСТ 9411; ГОСТ 18953; ГОСТ 22261; ГОСТ 27176; ГОСТ 34100.3 |
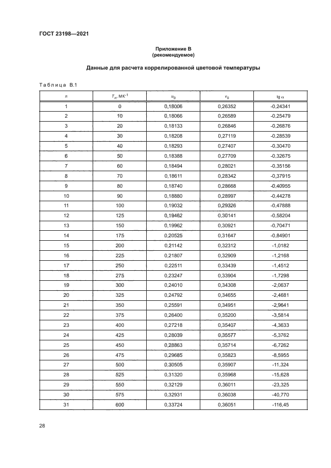
| Область применения: | Настоящий стандарт распространяется на электрические источники света (ИС): лампы накаливания, разрядные лампы и светодиодные ИС, имеющие сплошной, линейчатый или смешанный спектры излучения, и устанавливает методы измерений спектральных и цветовых характеристик. Настоящий стандарт не распространяется на ИС, применяемые в качестве рабочих средств измерения (СИ), и лампы-фары. Допускается применять настоящий стандарт для определения характеристик ИС других типов, предназначенных для целей освещения. Настоящий стандарт устанавливает методы измерений для определения следующих спектральных характеристик ИС: - спектральной плотности энергетической яркости (СПЭЯ); - спектральной плотности энергетической освещенности (СПЭО); - спектральной плотности силы излучения (СПСИ); - спектральной плотности потока излучения (СППИ). Настоящий стандарт устанавливает методы измерений для определения следующих цветовых характеристик ИС: - координат цвета и координат цветности; - цветопередачи; - содержания красного излучения в спектре ртутных ламп высокого давления; - коррелированной цветовой температуры (КЦТ); - доминирующей длины волны; - условной чистоты цвета |
|