| Обозначение: |  ГОСТ 20916-2021 |
| Статус: | действующий |
| Название рус.: | Плиты теплоизоляционные из пенопласта на основе резольных феноло-формальдегидных смол. Технические условия |
| Название англ.: | Foam plastic heat-insulating slabs based on resole phenol-formaldehyde resins. Specifications |
| Дата актуализации текста: | 01.01.2022 |
| Дата актуализации описания: | 01.07.2023 |
| Дата регистрации: | 30.09.2021 |
| Дата издания: | 09.11.2021 |
| Дата введения: | 01.07.2022 |
| Взамен: | ГОСТ 20916-87 |
| Нормативные ссылки: | ГОСТ 12.1.044; ГОСТ 7076; ГОСТ 14192; ГОСТ 24816; ГОСТ 25898-2020; ГОСТ 27296; ГОСТ 30244; ГОСТ 30402; ГОСТ 31704; ГОСТ 31705; ГОСТ 31915; ГОСТ 31924; ГОСТ 31925-2011;ГОСТ EN 822;ГОСТ EN 823;ГОСТ EN 824;ГОСТ EN 825;ГОСТ EN 826;ГОСТ EN 1604;ГОСТ EN 1605;ГОСТ EN 1606;ГОСТ EN 1607;ГОСТ EN 1609;ГОСТ EN 12086-2011;ГОСТ EN 12087;ГОСТ EN 12089 |
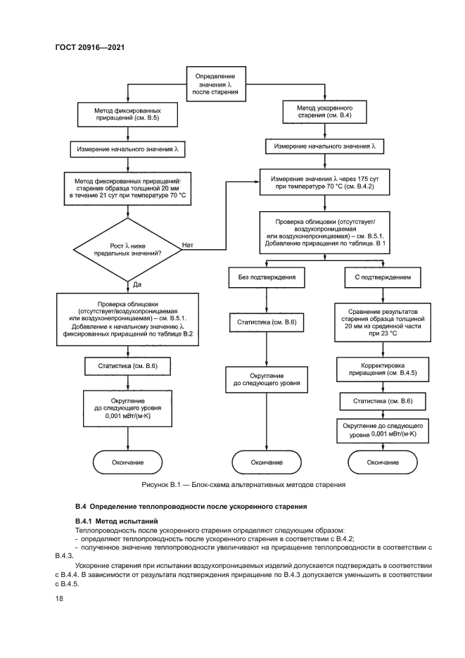
| Область применения: | Настоящий стандарт распространяется на теплоизоляционные плиты из пенопласта, изготавливаемого на основе резольных феноло-формальдегидных смол, вспенивающего и отверждающего агентов, а также модифицирующих добавок. Плиты предназначаются для тепловой изоляции покрытий зданий со стальными профилированными настилами, а плиты марки 50 – для тепловой изоляции других видов строительных ограждающих конструкций. Температура изолируемых поверхностей не должна быть выше 130 °С. Изделия, рассматриваемые в настоящем стандарте, допускается применять в сборных теплоизоляционных системах и композитных панелях. Эксплуатационные характеристики систем, содержащих данные изделия, в настоящем стандарте не рассматриваются |
|