| Обозначение: |  ГОСТ Р 59115.6-2021 |
| Статус: | действующий |
| Название рус.: | Обоснование прочности оборудования и трубопроводов атомных энергетических установок. Методы определения характеристик трещиностойкости конструкционных материалов |
| Название англ.: | Rules for strength assessment of equipment and pipelines of nuclear power installations. Methods for determination of fracture toughness characteristics of structural materials |
| Дата актуализации текста: | 01.01.2022 |
| Дата актуализации описания: | 01.07.2023 |
| Дата издания: | 09.11.2021 |
| Дата введения: | 01.01.2022 |
| Нормативные ссылки: | ГОСТ Р 8.568; ГОСТ Р 59115.1; ГОСТ Р 59115.2; ГОСТ Р 59115.3; ГОСТ Р 59115.14 |
| Область применения: | Настоящий стандарт устанавливает методы проведения испытаний в целях экспериментального определения и процедуры расчетного определения характеристик трещиностойкости конструкционных материалов оборудования и трубопроводов атомных энергетических установок в условиях стабильного и нестабильного развития трещины при кратковременном нагружении, а также при циклическом и длительном статическом нагружении. Настоящий стандарт предназначен для применения при проведении расчетов по обоснованию прочности оборудования и трубопроводов атомных энергетических установок, на которые распространяется действие федеральных норм и правил в области использования атомной энергии [1]. Применимость материалов для изготовления указанных в 1.2 оборудования и трубопроводов атомных энергетических установок регламентируется федеральными нормами и правилами в области использования атомной энергии [1] |
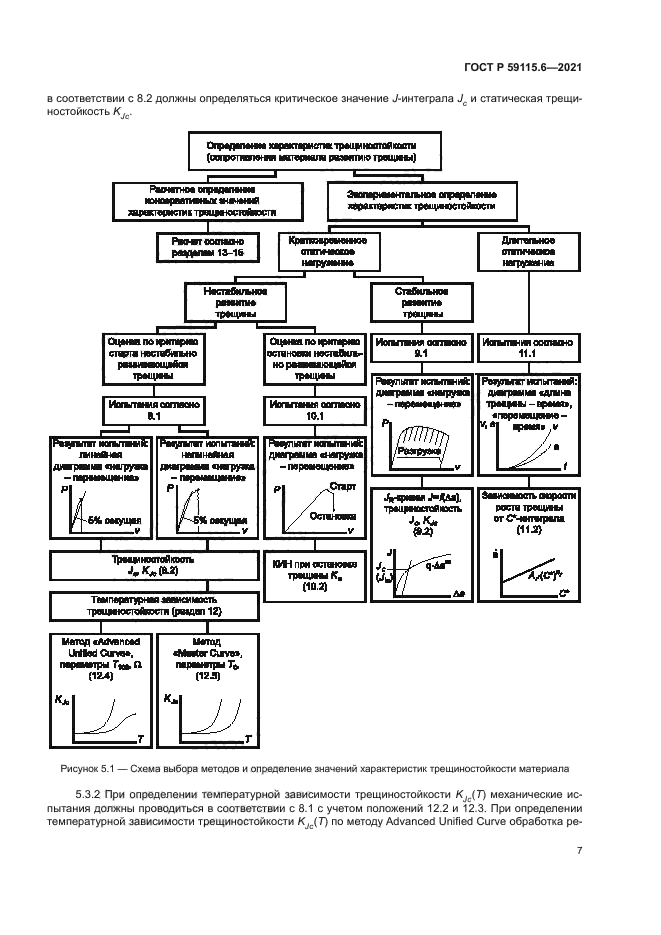
|