| Обозначение: |  ГОСТ 4748-2021 |
| Статус: | действующий |
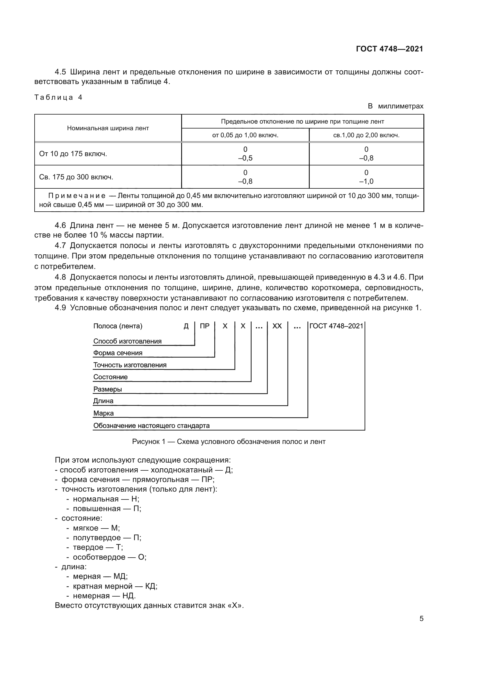
| Название рус.: | Полосы и ленты из кремнисто-марганцевой бронзы. Технические условия |
| Название англ.: | Silicon-manganese bronze strips and ribbons. Specifications |
| Дата актуализации текста: | 01.07.2023 |
| Дата актуализации описания: | 01.07.2023 |
| Дата регистрации: | 26.08.2021 |
| Дата издания: | 20.06.2023 |
| Дата введения: | 01.03.2022 |
| Взамен: | ГОСТ 4748-92 |
| Нормативные ссылки: | ГОСТ 166; ГОСТ 427; ГОСТ 1497; ГОСТ 2228; ГОСТ 2991; ГОСТ 3282; ГОСТ 3560; ГОСТ 5244; ГОСТ 6507; ГОСТ 7376; ГОСТ 7502; ГОСТ 7933; ГОСТ 8273; ГОСТ 8828; ГОСТ 9569; ГОСТ 9696; ГОСТ 10198; ГОСТ 10354; ГОСТ 11701; ГОСТ 14192; ГОСТ 15027.1; ГОСТ 15027.2; ГОСТ 15027.3; ГОСТ 15027.4; ГОСТ 15027.5; ГОСТ 15027.6; ГОСТ 15027.7; ГОСТ 15027.8; ГОСТ 15027.9; ГОСТ 15027.10; ГОСТ 15027.11; ГОСТ 15027.12; ГОСТ 15027.13; ГОСТ 15027.14; ГОСТ 15102; ГОСТ 15846; ГОСТ 18175; ГОСТ 18242; ГОСТ 18321; ГОСТ 18477; ГОСТ 20435 ; ГОСТ 21140; ГОСТ 21650; ГОСТ 22225; ГОСТ 24047; ГОСТ 24231; ГОСТ 24597; ГОСТ 25086; ГОСТ 26663; ГОСТ 26877 ; ГОСТ 28798; ГОСТ 32597; ГОСТ 33757; ГОСТ Р 52901-2007; ГОСТ Р ИСО 2859-1-2007; ГОСТ Р 50779.12-2021;СТ СЭВ 543 |
| Область применения: | Настоящий стандарт распространяется на холоднокатаные полосы и ленты (далее полосы и ленты), применяемые для изготовления пружин и других изделий |
| Приложение №1: | Поправка к ГОСТ 4748-2021 |
| Приложение №2: | Поправка к ГОСТ 4748-2021 |
|