| Обозначение: |  ГОСТ Р 59389.1-2021 |
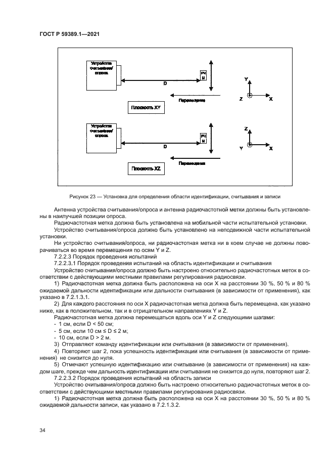
| Статус: | действующий |
| Название рус.: | Информационные технологии. Методы эксплуатационных испытаний устройств радиочастотной идентификации. Часть 1. Методы эксплуатационных испытаний систем радиочастотной идентификации |
| Название англ.: | Information technology. Radio frequency identification device performance test methods. Part 1. Test methods for system performance |
| Дата актуализации текста: | 01.01.2022 |
| Дата актуализации описания: | 01.07.2023 |
| Дата издания: | 03.09.2021 |
| Дата введения: | 01.06.2022 |
| Содержит требования: | ISO/IEC 18046-1:2011 |
| Нормативные ссылки: | ГОСТ 12.1.006; ГОСТ 30721; ГОСТ 34100.3; ГОСТ 34693.6; ГОСТ Р ИСО/МЭК 18000-62; ГОСТ Р ИСО/МЭК 18000-7; ГОСТ Р ИСО 2859-1; ГОСТ Р ИСО 2859-4; ГОСТ Р 50779.70; ГОСТ Р 58701 |
| Область применения: | Настоящий стандарт определяет методы испытаний для оценки эксплуатационных характеристик систем радиочастотной идентификации и устанавливает общие требования и требования к испытаниям устройств считывания/опроса, необходимые при выборе устройств считывания/опроса для их применения. Требования стандарта не распространяются на испытания, связанные с подтверждением обязательных требований |
|