| Обозначение: |  ГОСТ Р 55.0.03-2021 |
| Статус: | действующий |
| Название рус.: | Управление активами. Системы менеджмента. Руководство по применению ИСО 55001 |
| Название англ.: | Asset management. Management systems. Guidelines for the application of ISO 55001 |
| Дата актуализации текста: | 01.01.2022 |
| Дата актуализации описания: | 01.07.2023 |
| Дата издания: | 19.07.2021 |
| Дата введения: | 01.09.2021 |
| Взамен: | ГОСТ Р 55.0.03-2014 |
| Нормативные ссылки: | ГОСТ Р 55.0.01-2014; ГОСТ Р 55.0.02-2014 |
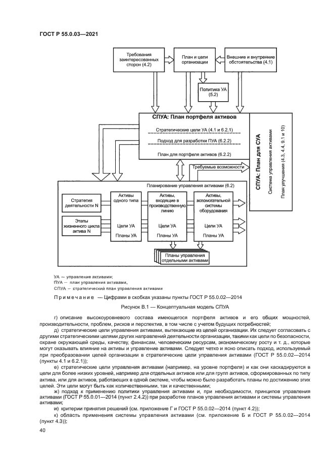
| Область применения: | Настоящий стандарт предоставляет руководство по применению системы управления активами в соответствии с требованиями ГОСТ Р 55.0.02. Настоящий стандарт может быть применен к любым типам активов и может использоваться организациями любого типа и размера |
|