| Обозначение: |  ГОСТ Р 59205-2021 |
| Статус: | действующий |
| Название рус.: | Дороги автомобильные общего пользования. Охрана окружающей среды. Технические требования |
| Название англ.: | Automobile roads of general use. Environmental protection. Technical requirements |
| Дата актуализации текста: | 01.01.2022 |
| Дата актуализации описания: | 01.07.2023 |
| Дата издания: | 06.07.2021 |
| Дата введения: | 01.07.2021 |
| Нормативные ссылки: | ГОСТ 17.5.1.03; ГОСТ 32957; ГОСТ Р 58947; ГОСТ Р 57446; ГОСТ Р 59201;СП 276.1325800.2016;СП 313.1325800 |
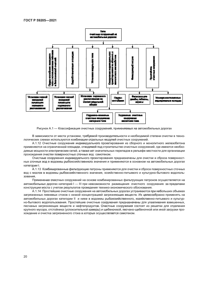
| Область применения: | Настоящий стандарт распространяется на автомобильные дороги общего пользования и устанавливает технические требования по охране окружающей среды при проектировании, строительстве (реконструкции), капитальном ремонте, ремонте и содержании автомобильных дорог и искусственных сооружений |
|