| Обозначение: |  ГОСТ Р 59375.1-2021 |
| Статус: | действующий |
| Название рус.: | Конструкции для удаления дымовых газов. Требования к металлическим конструкциям для удаления дымовых газов. Часть 1. Строительные компоненты конструкций для удаления дымовых газов |
| Название англ.: | Chimneys. Requirements for metal chimneys. Part 1. Building components for chimneys |
| Дата актуализации текста: | 01.01.2022 |
| Дата актуализации описания: | 01.07.2023 |
| Дата издания: | 09.07.2021 |
| Дата введения: | 01.01.2022 |
| Нормативные ссылки: | ГОСТ 11069; ГОСТ 6032-2017; ГОСТ Р 59375.2; ГОСТ Р 59376; ГОСТ Р 59412; ГОСТ Р ИСО 2859-1; ГОСТ Р ИСО 13732-1; ГОСТ Р ИСО 9001 |
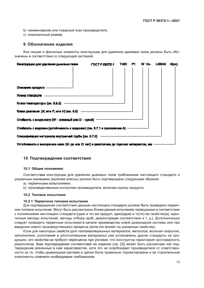
| Область применения: | Настоящий стандарт устанавливает требования к строительным компонентам однослойных и многослойных дымоходных систем с жесткими металлическими внутренними трубами (секции конструкции для удаления дымовых газов, фасонные элементы и оголовки, включая также опорные элементы) с номинальным диаметром не более 1200 мм, предназначенных для отвода продуктов сгорания от источников тепла c камерой сгорания или топкой (далее – источники тепла) в окружающую атмосферу. Настоящий стандарт содержит требования к обозначению, содержанию инструкции производителя, паспорту и техническому описанию дымоходных систем, прилагаемых при реализации, а также оценку соответствия. Внутренние трубы и соединительные элементы из металла, которые не охвачены настоящим стандартом, рассмотрены в ГОСТ Р 59375.2 |
|