Скачать ГОСТ 34332.4-2021 Безопасность функциональная систем, связанных с безопасностью зданий и сооружений. Часть 4. Требования к программному обеспечениюДата актуализации: 01.06.2025 ГОСТ 34332.4-2021
Безопасность функциональная систем, связанных с безопасностью зданий и сооружений. Часть 4. Требования к программному обеспечению
| Обозначение: |  ГОСТ 34332.4-2021 |
| Статус: | действующий |
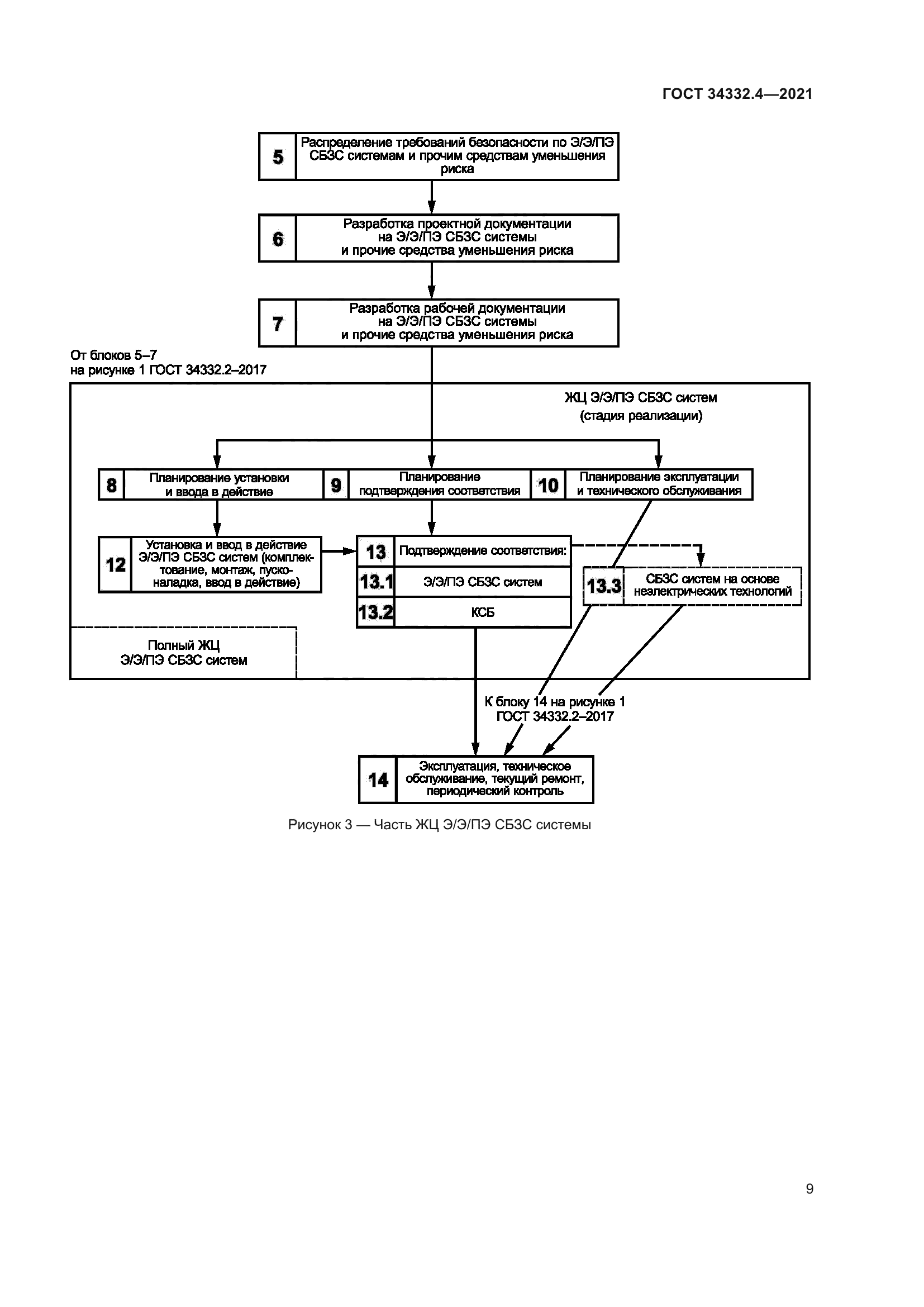
| Название рус.: | Безопасность функциональная систем, связанных с безопасностью зданий и сооружений. Часть 4. Требования к программному обеспечению | | Название англ.: | Functional safety of building/construction safety-related systems. Part 4. Requirements for software | | Дата актуализации текста: | 01.06.2022 | | Дата актуализации описания: | 01.07.2023 | | Дата регистрации: | 30.04.2021 | | Дата издания: | 24.06.2021 | | Дата введения: | 01.01.2022 | | Нормативные ссылки: | ISO/IEC Guide 51:2014; ГОСТ 34332.1-2017; ГОСТ 34332.2-2017; ГОСТ 34332.3-2021; ГОСТ 34332.5-2021 | | Область применения: | Настоящий стандарт: - применяется совместно с ГОСТ 34332.1—ГОСТ 34332.3 и ГОСТ 34332.5; - распространяется на программное обеспечение (ПО) электрических, электронных, программируемых электронных (Э/Э/ПЭ), связанных с безопасностью зданий и сооружений системы (далее — Э/Э/ПЭ СБЗС системы), включая комплексные системы безопасности (КСБ), устанавливаемые или установленные во вновь возводимых или реконструируемых зданиях и сооружениях (далее — объекты) всех отраслей экономики независимо от форм собственности и ведомственной принадлежности, включая жилые, общественные и производственные здания и сооружения, в том числе на Э/Э/ПЭ СБЗС системы объектов инфраструктуры перерабатывающей промышленности, энергетики, транспорта, гидротехнических и мелиоративных сооружений, включая линейные объекты, для обеспечения их безопасности и антитеррористической защищенности; - распространяется на любое ПО, являющееся частью Э/Э/ПЭ СБЗС системы, либо на ПО, используемое для разработки Э/Э/ПЭ СБЗС систем в области применения ГОСТ 34332.1—ГОСТ 34332.3. Такое ПО, связанное с его безопасностью (СБ ПО), включает в себя операционные системы, системное ПО, программы, применяемые в коммуникационных сетях, интерфейсы пользователей и обслуживающего персонала, встроенные программно-аппаратные средства, а также прикладные программы; - устанавливает требования к тем действиям и процедурам, которые должны быть выполнены на стадиях проектирования, планирования и реализации СБ ПО. - устанавливает конкретные требования к инструментальным средствам поддержки, используемым для разрабатываемых и конфигурируемых Э/Э/ПЭ СБЗС систем, включая КСБ, в соответствии с ГОСТ 34332.2 и ГОСТ 34332.3. - предусматривает определение функции безопасности и стойкости к систематическим отказам СБ ПО | | Приложение №1: | Поправка к ГОСТ 34332.4-2021 | |
                                                                                                      
Поправка к ГОСТ 34332.4-2021
| Обозначение: | Поправка к ГОСТ 34332.4-2021 |
| Дата введения: | 20.04.2022 |
|