| Обозначение: |  ГОСТ Р 59313-2021 |
| Статус: | действующий |
| Название рус.: | Системы космические. Методы измерения коэффициента поглощения солнечного излучения и коэффициента теплового излучения терморегулирующих покрытий и материалов |
| Название англ.: | Space systems. Мeasurement methods of solar radiation absorption coefficient and heat radiation coefficient of thermal control coatings and materials |
| Дата актуализации текста: | 01.01.2022 |
| Дата актуализации описания: | 01.07.2023 |
| Дата издания: | 11.02.2021 |
| Дата введения: | 01.06.2021 |
| Нормативные ссылки: | ГОСТ 3; ГОСТ 12.4.131; ГОСТ 12.4.132; ГОСТ 892; ГОСТ 3520; ГОСТ 15150; ГОСТ 17299; ГОСТ 21631; ГОСТ 29298; ГОСТ Р 8.829; ГОСТ Р 58516 |
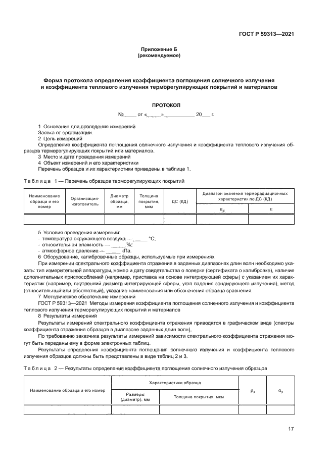
| Область применения: | Настоящий стандарт устанавливает методы измерений, требования к средствам измерений и образцам, используемые для определения терморадиационных характеристик (коэффициента поглощения солнечного излучения, коэффициента теплового излучения) терморегулирующих покрытий и материалов. Определение терморадиационных характеристик проводят на спектральных и переносных интегральных приборах. Настоящий стандарт распространяется на покрытия и материалы (непрозрачные в измеряемом диапазоне длин волн) с плоской контрольной поверхностью, используемые в изделиях ракетно-космической техники (РКТ) |
|