| Обозначение: |  ГОСТ Р 59266-2020 |
| Статус: | действующий |
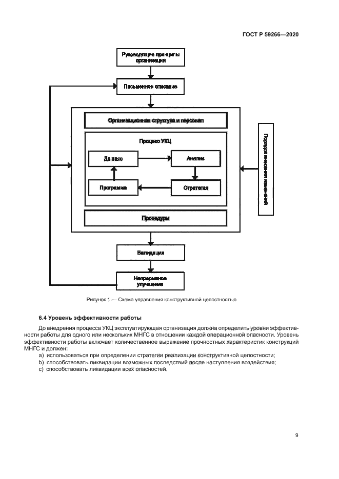
| Название рус.: | Нефтяная и газовая промышленность. Сооружения нефтегазопромысловые морские. Управление конструктивной целостностью |
| Название англ.: | Petroleum and natural gas industry. Offshore oil and gas field structures. Structural integrity management |
| Дата актуализации текста: | 01.01.2022 |
| Дата актуализации описания: | 01.07.2023 |
| Дата издания: | 22.01.2021 |
| Дата введения: | 01.09.2021 |
| Содержит требования: | ISO 19901-9:2019 |
| Нормативные ссылки: | ГОСТ 19179; ГОСТ 30247.0; ГОСТ 31438.1; ГОСТ 33715; ГОСТ Р 12.3.047; ГОСТ Р 52649; ГОСТ Р 54483-2011; ГОСТ Р 57123; ГОСТ Р 57148-2016; ГОСТ Р 57555-2017; ГОСТ Р 58036-2017; ГОСТ Р ЕН 1363-2-2014 |
| Область применения: | Настоящий стандарт устанавливает общие требования к управлению конструктивной целостностью морских нефтегазопромысловых сооружений (МНГС), устанавливаемых на континентальном шельфе (в том числе на акваториях с ледовым режимом), внутренних морских водах, территориальном море, прилежащей зоне Российской Федерации и в российском секторе Каспийского моря. Требования следует применять при планировании, проектировании и проведении работ: - по созданию баз данных по управлению конструктивной МНГС; - инспекциям в процессе эксплуатации и мероприятиям по управлению конструктивной целостностью новых и действующих МНГС; - оценке состояния действующих МНГС; - оценке состояния МНГС перед повторным использованием на новых площадках установки; - оценке состояния МНГС для определения мероприятий по их демонтажу. Установленные настоящим стандартом требования определены в отношении стационарных и мобильных МНГС, эксплуатирующихся как на морском дне, так и на плаву |
|