Скачать ГОСТ Р 59167-2020 Информационные технологии. Стандарт информационных сервисов EPC (EPCIS)Дата актуализации: 01.06.2025 ГОСТ Р 59167-2020
Информационные технологии. Стандарт информационных сервисов EPC (EPCIS)
| Обозначение: |  ГОСТ Р 59167-2020 |
| Статус: | действующий |
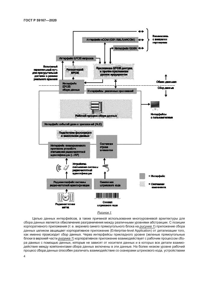
| Название рус.: | Информационные технологии. Стандарт информационных сервисов EPC (EPCIS) | | Название англ.: | EPC Information Services (EPCIS) Standard | | Дата актуализации текста: | 01.01.2022 | | Дата актуализации описания: | 01.06.2022 | | Дата издания: | 19.01.2021 | | Дата введения: | 01.01.2022 | | Содержит требования: | ISO/IEC 19987:2017 | | Область применения: | Настоящий документ соответствует стандарту GS1 [2], который определяет версию 1.2 информационных сервисов EPC (EPC Information Services, EPCIS). Целью EPCIS является предоставление возможности различным приложениям создавать данные о событиях, обеспечивающих прозрачность, и обмениваться ими как внутри предприятий, так и между ними. В конечном счете, создание этого общего ресурса направлено на то, чтобы дать возможность пользователям получать общий доступ к физическим и цифровым объектам в рамках соответствующего контекста ведения хозяйственной деятельности | |
                                                                                                                                                              
|