Скачать ГОСТ Р 59248-2020 Угли бурые, каменные, антрацит, горючие сланцы и угольные брикеты. Методы отбора и подготовки проб для лабораторных испытанийДата актуализации: 01.06.2025 ГОСТ Р 59248-2020
Угли бурые, каменные, антрацит, горючие сланцы и угольные брикеты. Методы отбора и подготовки проб для лабораторных испытаний
| Обозначение: |  ГОСТ Р 59248-2020 |
| Статус: | действующий |
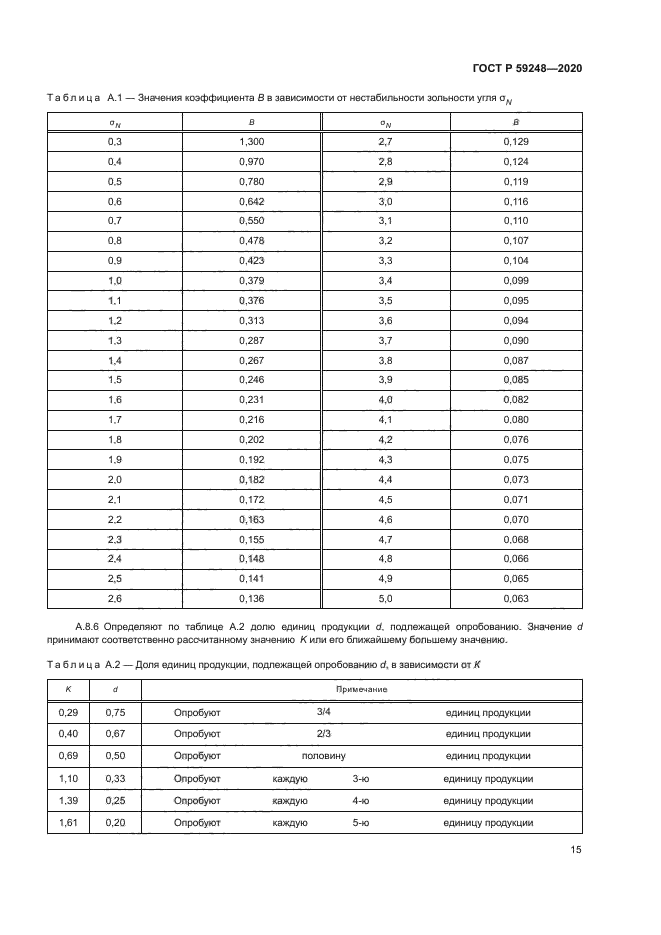
| Название рус.: | Угли бурые, каменные, антрацит, горючие сланцы и угольные брикеты. Методы отбора и подготовки проб для лабораторных испытаний | | Название англ.: | Brown coals, hard coals, anthracite, combustible shales and coal briquettes. Methods of sampling and preparation of samples for laboratory tests | | Дата актуализации текста: | 01.01.2022 | | Дата актуализации описания: | 01.07.2023 | | Дата издания: | 28.12.2020 | | Дата введения: | 01.04.2021 | | Нормативные ссылки: | ГОСТ 2093; ГОСТ 3306; ГОСТ 6613; ГОСТ 17070; ГОСТ 17321; ГОСТ 27379; ГОСТ 33130; ГОСТ 33814;ГОСТ ISO 13909-7;ГОСТ ISO 13909-8; ГОСТ Р 51568; ГОСТ Р 52911-2013; ГОСТ Р 53228; ГОСТ Р ИСО 18283-2010 | | Область применения: | Настоящий стандарт распространяется на угли (бурые, каменные и антрацит), горючие сланцы и угольные брикеты (далее Ї топливо) с крупностью кусков до 300 мм (для горючих сланцев в особых случаях Ї до 400 мм) и устанавливает методы отбора проб из потока, железнодорожных вагонов, судов, других транспортных средств, складов, а также методы подготовки проб для лабораторных физических испытаний и химического анализа | |
                     
|