| Обозначение: |  ГОСТ Р 59221-2020 |
| Статус: | действующий |
| Название рус.: | Коды обмена и обработки информации для шеститочечного представления символов по системе Брайля в кодировке Юникод алфавитов языков народов Российской Федерации |
| Название англ.: | Codes for exchanging and processing the information for the six-point representation of Braille characters in the Unicode encoding of alphabets of languages of the peoples of the Russian Federation |
| Дата актуализации текста: | 01.01.2022 |
| Дата актуализации описания: | 01.01.2022 |
| Дата издания: | 23.12.2020 |
| Дата введения: | 01.06.2021 |
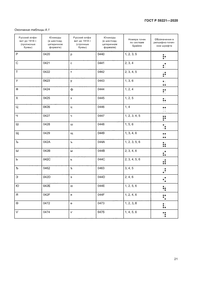
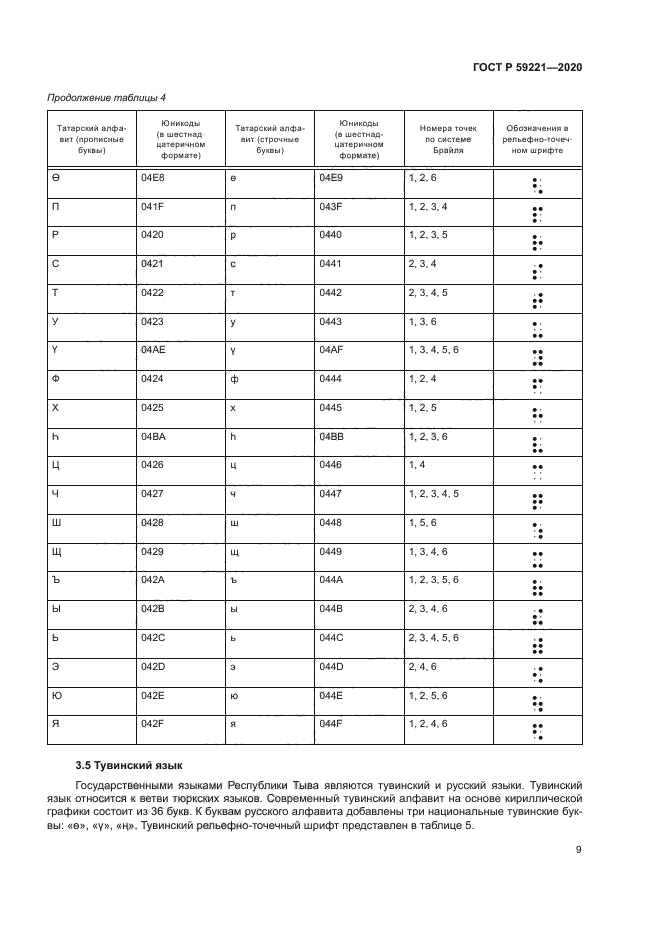
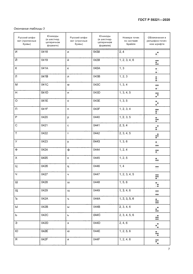
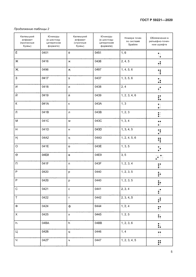
| Область применения: | Настоящий стандарт распространяется на шеститочечное представление символов по системе Брайля, используемых при обмене и обработке информации в устройствах подготовки, ввода, вывода, обработки, хранения и передачи данных в процессе подготовки и тиражирования изданий рельефно-точечного шрифта, издаваемых на государственных языках Российской Федерации и субъектов Российской Федерации |
|