| Обозначение: |  ГОСТ Р 59126-2020 |
| Статус: | действующий |
| Название рус.: | Магистральный трубопроводный транспорт нефти и нефтепродуктов. Арматура трубопроводная. Методика расчета требуемых гидравлических и кавитационных характеристик арматуры регулирующей для выбора в системы автоматического регулирования |
| Название англ.: | Trunk pipeline transport of oil and oil products. Pipeline valves. Calculation method of required hydraulic and cavitation characteristics of control valves for selection in automatic control systems |
| Дата актуализации текста: | 01.01.2022 |
| Дата актуализации описания: | 01.07.2023 |
| Дата издания: | 14.12.2020 |
| Дата введения: | 01.07.2021 |
| Нормативные ссылки: | ГОСТ 12.2.063; ГОСТ 305; ГОСТ 1012; ГОСТ 2084; ГОСТ 10227; ГОСТ 10585; ГОСТ 24856; ГОСТ 31378; ГОСТ 32511; ГОСТ 32513; ГОСТ Р 51105; ГОСТ Р 51858; ГОСТ Р 51866; ГОСТ Р 52050; ГОСТ Р 52368 |
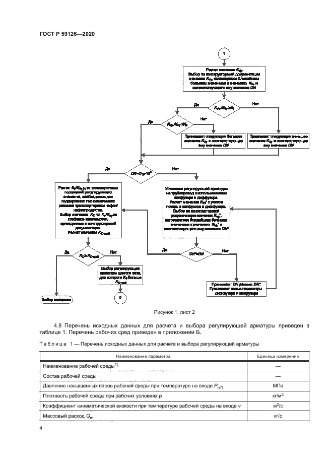
| Область применения: | Настоящий стандарт распространяется на регулирующую арматуру различного типа, предназначенную для эксплуатации в системах автоматического регулирования на объектах магистрального трубопровода для транспортировки нефти и нефтепродуктов. Настоящий стандарт устанавливает методику расчета требуемых гидравлических и кавитационных характеристик регулирующей арматуры |
|