Скачать ГОСТ Р 59383-2021 Информационные технологии. Методы и средства обеспечения безопасности. Основы управления доступомДата актуализации: 01.06.2025 ГОСТ Р 59383-2021
Информационные технологии. Методы и средства обеспечения безопасности. Основы управления доступом
| Обозначение: |  ГОСТ Р 59383-2021 |
| Статус: | действующий |
| Название рус.: | Информационные технологии. Методы и средства обеспечения безопасности. Основы управления доступом | | Название англ.: | Information technology. Security techniques. A framework for access management | | Дата актуализации текста: | 01.06.2021 | | Дата актуализации описания: | 01.07.2023 | | Дата издания: | 01.06.2021 | | Дата введения: | 30.11.2021 | | Нормативные ссылки: | ГОСТ Р 58833; ГОСТ Р 59381; ГОСТ Р 59382; ГОСТ Р 59407; ГОСТ Р ИСО/МЭК 27002 | | Область применения: | Настоящий стандарт определяет основы управления доступом и безопасного управления процессом доступа к информации и ресурсам средств информационно-коммуникационных технологий. В настоящем стандарте приведены концепции, термины и определения, применимые для методов управления распределенным доступом в сетевой среде, представлены разъяснения, касающиеся взаимосвязанной архитектуры, компонентов и функций управления. Положения настоящего стандарта могут быть использованы при управлении доступом к информационным ресурсам, вычислительным ресурсам средств вычислительной техники, ресурсам автоматизированных (информационных) систем, средствам вычислительной техники и автоматизированным (информационным) системам в целом. Описание характеристик и качества средств управления физическим доступом, задействованных в системах управления доступом, выходят за рамки применения настоящего стандарта | |
                                 
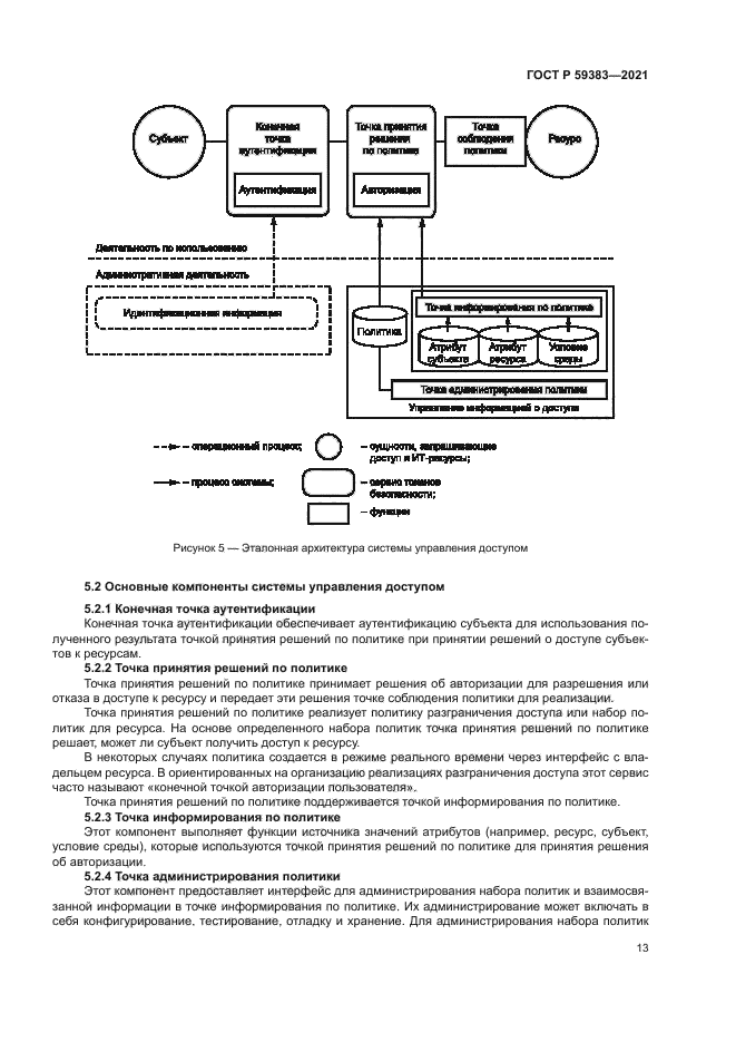
|