| Обозначение: |  ГОСТ Р 43.0.24-2021 |
| Статус: | действующий |
| Название рус.: | Информационное обеспечение техники и операторской деятельности. Научение |
| Название англ.: | Informational ensuring of equipment and operational activity. Learning |
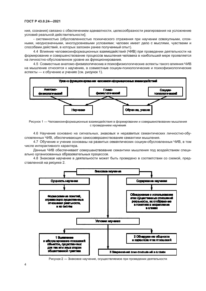
| Дата актуализации текста: | 01.06.2021 |
| Дата актуализации описания: | 01.07.2023 |
| Дата издания: | 11.03.2021 |
| Дата введения: | 01.05.2021 |
| Нормативные ссылки: | ГОСТ Р 43.0.1; ГОСТ Р 43.0.2; ГОСТ Р 43.0.3; ГОСТ Р 43.0.5; ГОСТ Р 43.0.6; ГОСТ Р 43.2.1; ГОСТ Р 43.4.1 |
| Область применения: | Настоящий стандарт устанавливает общие и основные положения, относящиеся к научению. Положения настоящего стандарта по научению могут быть использованы человеком при осуществлении какой-либо деятельности с проведением соответствующих человекоинформационных взаимодействий (ЧИВ) для приобретения им знаний, умений, навыков, формирования семантики мышления и становления человека как личности |
|