Скачать ГОСТ Р 58458-2020 Бассейны для плавания. Общие технические условияДата актуализации: 01.06.2025 ГОСТ Р 58458-2020
Бассейны для плавания. Общие технические условия
| Обозначение: |  ГОСТ Р 58458-2020 |
| Статус: | действующий |
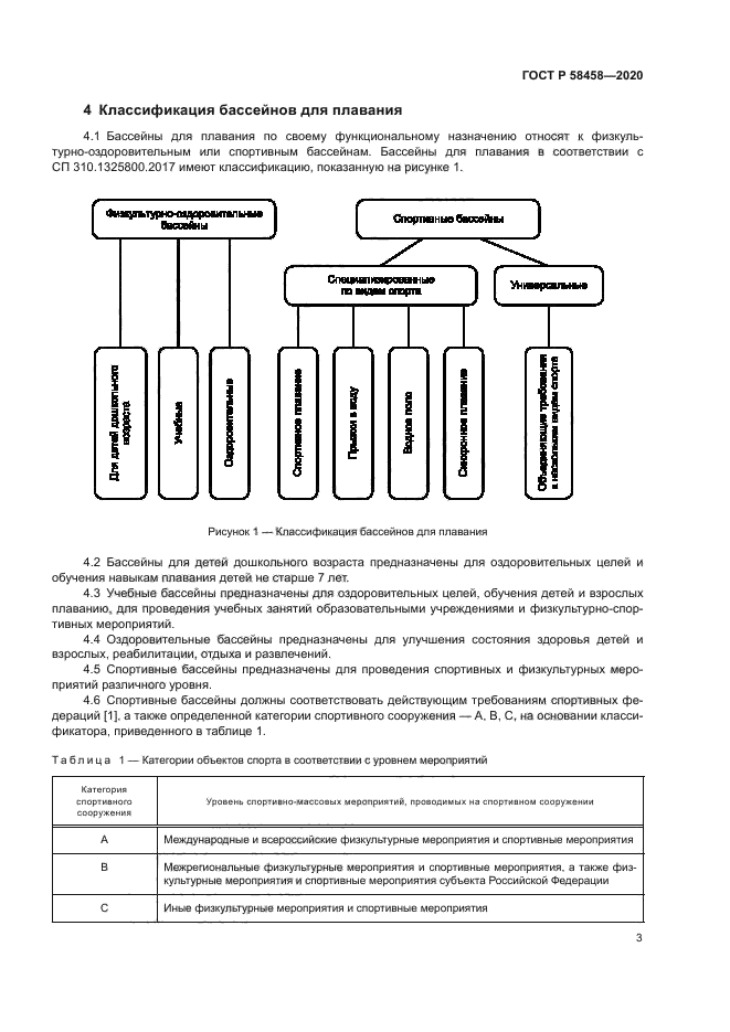
| Название рус.: | Бассейны для плавания. Общие технические условия | | Название англ.: | Swimming pools. General specifications | | Дата актуализации текста: | 01.06.2021 | | Дата актуализации описания: | 01.07.2023 | | Дата издания: | 18.01.2021 | | Дата введения: | 01.05.2021 | | Нормативные ссылки: | ГОСТ 2.610; ГОСТ Р 2.601; ГОСТ Р 53114; ГОСТ Р 53491.1; ГОСТ Р 55529; ГОСТ Р 55908; ГОСТ Р 58877;СП 29.13330.2011;СП 51.13330.2011;СП 52.13330.2016;СП 59.13330.2016;СП 60.13330.2012;СП 118.13330.2012;СП 255.1325800.2016;СП 310.1325800.2017;СП 418.1325800.2018 | | Область применения: | Настоящий стандарт устанавливает требования к техническому состоянию, параметрам инфраструктуры, окружающей среде при обычных условиях эксплуатации бассейнов для плавания для обеспечения безопасности жизни, здоровья и имущества людей, являющихся потребителями физкультурно-оздоровительных услуг, а также участников и зрителей физкультурно-спортивных мероприятий, проводимых в бассейнах для плавания. Требования настоящего стандарта распространяются на организации, индивидуальных предпринимателей и физических лиц, в собственности или управлении которых находятся бассейны для плавания, предназначенные для оказания физкультурно-оздоровительных услуг, обучения детей и взрослых плаванию и для проведения физкультурно-спортивных мероприятий. Требования настоящего стандарта применяются при проведении процедуры подтверждения соответствия в форме добровольной сертификации | |
                        
|