| Обозначение: |  ГОСТ Р 702.2.002-2020 |
| Статус: | действующий |
| Название рус.: | Российская система качества. Изделия чулочно-носочные женские из синтетических нитей. Потребительские испытания |
| Название англ.: | Russian quality system. Women's hosiery products of synthetic fibers. Consumer testing |
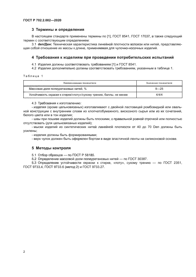
| Дата актуализации текста: | 01.06.2021 |
| Дата актуализации описания: | 01.07.2023 |
| Дата издания: | 11.01.2021 |
| Дата введения: | 01.04.2021 |
| Нормативные ссылки: | ГОСТ 2351; ГОСТ 8541; ГОСТ 9733.4; ГОСТ 9733.6; ГОСТ 9733.27; ГОСТ 17037; ГОСТ 30387; ГОСТ Р 54941; ГОСТ Р 58185 |
| Область применения: | Настоящий стандарт распространяется на женские чулочно-носочные изделия из синтетических нитей линейной плотности 8 - 70 Den, реализуемые в розничной торговле, и устанавливает опережающие требования к показателям качества, определяемым при потребительских испытаниях в соответствии с ГОСТ Р 54941/Руководство ИСО/МЭК 46:1985. Настоящий стандарт не применяют в целях производства изделий и обязательной оценки соответствия |
|