| Обозначение: |  ГОСТ Р 59030-2020 |
| Статус: | действующий |
| Название рус.: | Системы постоянного тока высокого напряжения. Виды и методы испытаний |
| Название англ.: | High-voltage direct current systems. Types and test methods |
| Дата актуализации текста: | 01.06.2021 |
| Дата актуализации описания: | 01.07.2023 |
| Дата издания: | 15.12.2020 |
| Дата введения: | 01.01.2021 |
| Содержит требования: | IEC 61975(2016) |
| Нормативные ссылки: | ГОСТ 12.1.001; ГОСТ 17168;ГОСТ IEC 61000-4-3;ГОСТ ISO 9612; ГОСТ Р 53188.1; ГОСТ Р 55193; ГОСТ Р 59027 |
| Область применения: | Настоящий стандарт устанавливает требования к системным испытаниям двухподстанционных реверсивных передач постоянного тока высокого напряжения (ПТВН), выполненных по биполярной схеме, а также вставок постоянного тока. Настоящий стандарт также распространяется на передачи ПТВН, выполненные по монополярной схеме, за исключением разделов, относящихся к испытаниям биполярных передач ПТВН. Применение настоящего стандарта ограничено высоковольтными преобразовательными подстанциями ПТВН на базе трехфазных мостовых схем с линейной коммутацией. Настоящий стандарт не распространяется на многоподстанционные передачи постоянного тока и передачи постоянного тока, содержащие преобразовательные подстанции ПТВН на основе самокоммутирующихся преобразователей напряжения |
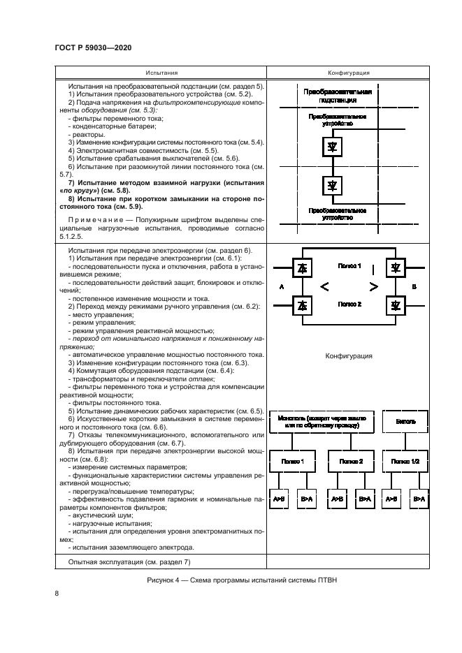
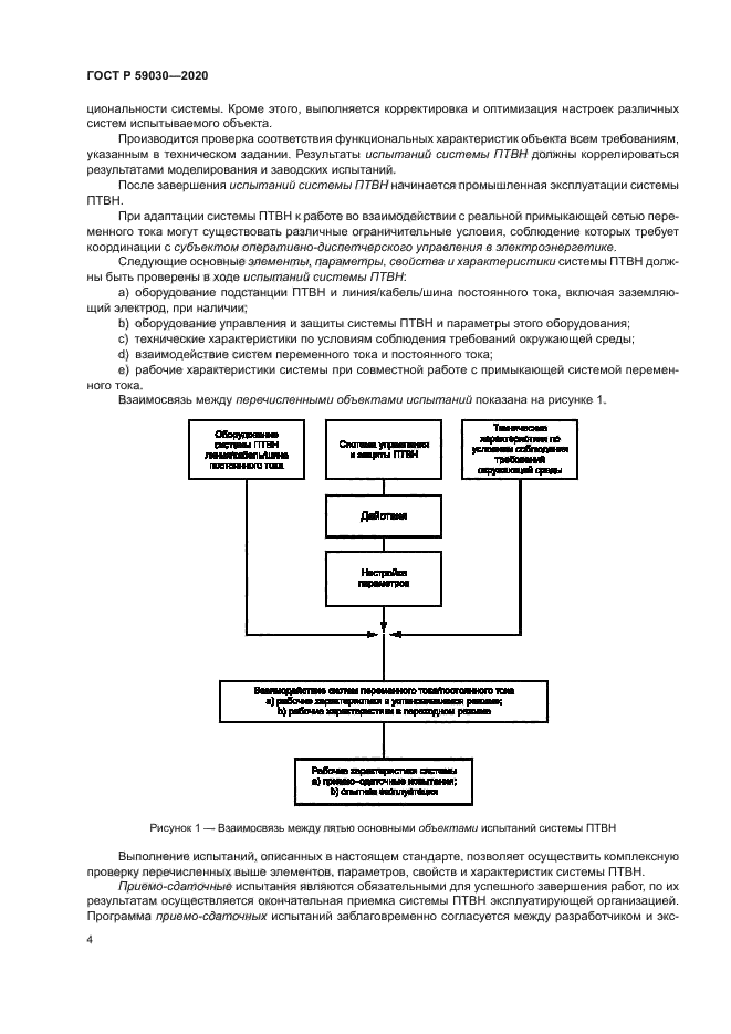
|