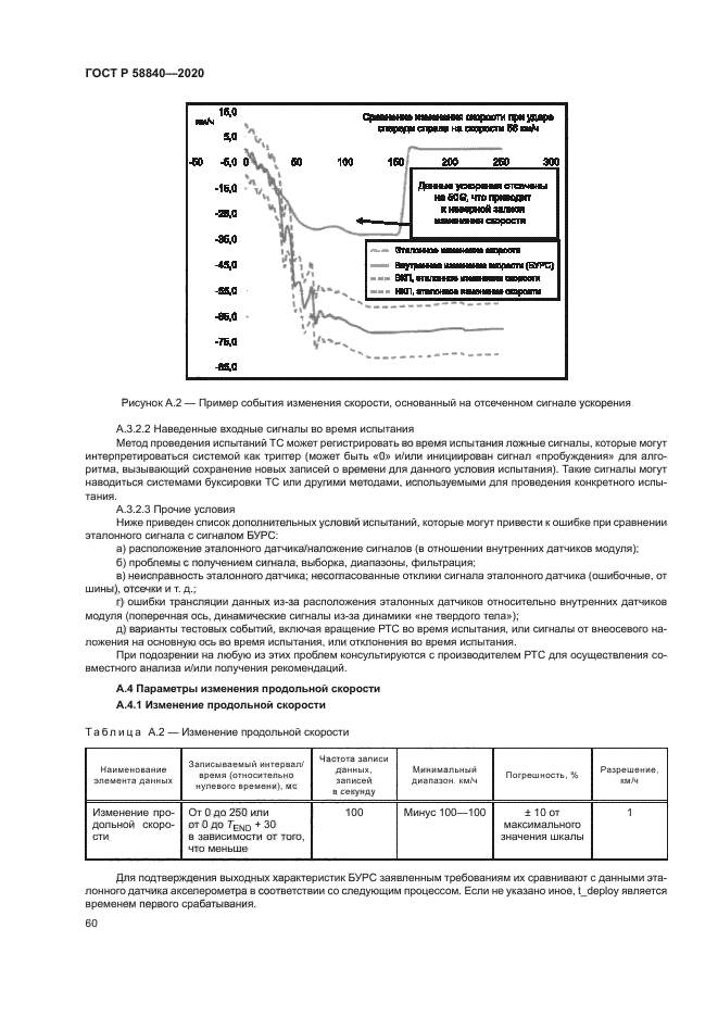
| Обозначение: |  ГОСТ Р 58840-2020 |
| Статус: | действующий |
| Название рус.: | Автомобильные транспортные средства. Бортовые устройства регистрации событий. Общие технические требования и методы испытаний |
| Название англ.: | Motor vehicles. On-Board Event Data Recorders. Performance requirements and test procedures |
| Дата актуализации текста: | 01.06.2021 |
| Дата актуализации описания: | 01.07.2023 |
| Дата издания: | 05.11.2020 |
| Дата введения: | 01.04.2021 |
| Нормативные ссылки: | ГОСТ 14254; ГОСТ Р 58804; ГОСТ Р 58808; ГОСТ Р 58823; ГОСТ Р 58824; ГОСТ Р 58839 |
| Область применения: | Настоящий стандарт распространяется на бортовые устройства регистрации событий (далее – БУРС), установленные на механические транспортные средства (далее – ТС) категорий M и N, соответствующие [1], обладающие уровнем автоматизации 0 – 5 по ГОСТ Р 58823, и устанавливает общие требования к БУРС и методы их испытаний. Настоящий стандарт содержит терминологию, определение выходных данных, протокол инструмента вывода данных и процедуры оценки соответствия БУРС требованиям стандарта |
|