Скачать ГОСТ Р 59026-2020 Информационные технологии. Интернет вещей. Протокол беспроводной передачи данных на основе стандарта LTE в режиме NB-IoT. Основные параметрыДата актуализации: 01.06.2025 ГОСТ Р 59026-2020
Информационные технологии. Интернет вещей. Протокол беспроводной передачи данных на основе стандарта LTE в режиме NB-IoT. Основные параметры
| Обозначение: |  ГОСТ Р 59026-2020 |
| Статус: | заменён |
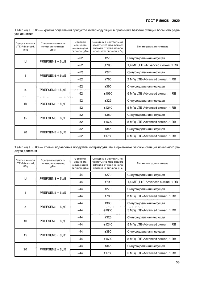
| Название рус.: | Информационные технологии. Интернет вещей. Протокол беспроводной передачи данных на основе стандарта LTE в режиме NB-IoT. Основные параметры | | Название англ.: | Information technology. Internet of things. Wireless data transmission protocol based on the LTE standard in NB-IoT mode. Key parameters | | Дата актуализации текста: | 01.06.2021 | | Дата актуализации описания: | 01.12.2024 | | Дата издания: | 15.10.2020 | | Дата введения: | 01.01.2021 | | Дата окончания срока действия: | 01.11.2024 | | Заменяющий: | ГОСТ Р 59026-2024 | | Область применения: | Настоящий стандарт распространяется на оборудование беспроводной передачи данных на основе стандарта LTE в режиме NB-IoT (см. [1], [2]) и устанавливает его основные параметры. Требования настоящего стандарта следует учитывать при разработке, изготовлении и эксплуатации оборудования беспроводной передачи данных на основе стандарта LTE в режиме NB-IoT. Настоящий стандарт, определяющий функционирование стандарта NB-IoT, допускается использовать как основу реализации цифровых решений в различных отраслях экономики – строительство, ЖКХ, «Умный город», промышленность, сельское хозяйство, транспорт и логистика и др. | |
                                                               
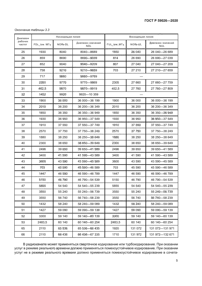
|