| Обозначение: |  ГОСТ Р 58966-2020 |
| Статус: | действующий |
| Название рус.: | Балки стальные двутавровые сварные. Технические условия. Сортамент |
| Название англ.: | Steel welded I-beams. Specifications. Assortment |
| Дата актуализации текста: | 01.06.2021 |
| Дата актуализации описания: | 01.07.2023 |
| Дата издания: | 17.09.2020 |
| Дата введения: | 01.01.2021 |
| Нормативные ссылки: | ГОСТ 9.402; ГОСТ 12.1.004; ГОСТ 12.1.019; ГОСТ 12.2.029; ГОСТ 12.2.107; ГОСТ 1497; ГОСТ 7502; ГОСТ 7564; ГОСТ 9454; ГОСТ 12344; ГОСТ 12345; ГОСТ 12346; ГОСТ 12347; ГОСТ 12348; ГОСТ 12350; ГОСТ 12351; ГОСТ 12352; ГОСТ 12355; ГОСТ 12356; ГОСТ 12357; ГОСТ 12358; ГОСТ 12359; ГОСТ 12361; ГОСТ 14019; ГОСТ 14637; ГОСТ 15150; ГОСТ 17745; ГОСТ 19281; ГОСТ 19903; ГОСТ 21014; ГОСТ 22536.0; ГОСТ 22536.1; ГОСТ 22536.2; ГОСТ 22536.3; ГОСТ 22536.4; ГОСТ 22536.5; ГОСТ 22536.6; ГОСТ 22536.7; ГОСТ 22536.8; ГОСТ 22536.9; ГОСТ 22536.10; ГОСТ 22536.11; ГОСТ 22536.12; ГОСТ 23118; ГОСТ 24297; ГОСТ 26877; ГОСТ 27751; ГОСТ 27772; ГОСТ 27809; ГОСТ 28033; ГОСТ 28473; ГОСТ 28870; ГОСТ 30775; ГОСТ Р 21.1101; ГОСТ Р 50424; ГОСТ Р 51927; ГОСТ Р 54153; ГОСТ Р 57837; ГОСТ Р ИСО 4943;СП 16.13330.2017;СП 28.13330 |
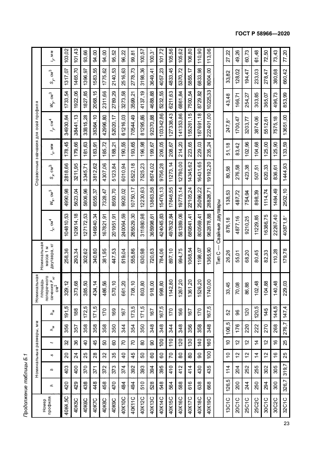
| Область применения: | Настоящий стандарт распространяется на стальные сварные балки двутаврового сечения с параллельными поясами, изготовляемые в заводских условиях, из нелегированной и легированной стали, предназначенные для строительных конструкций. Сварные двутавры (балки) могут быть использованы для любых видов строительных конструкций (балок, колонн, элементов ферм, элементов вертикальных и горизонтальных связей), а также для зданий и сооружений всех уровней ответственности и любого назначения |
|