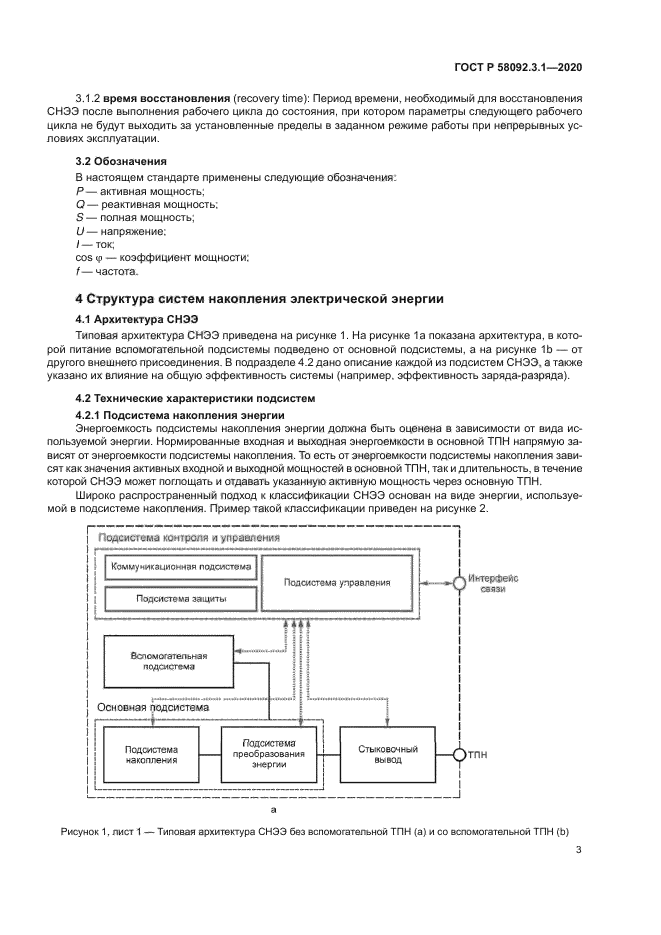
| Обозначение: |  ГОСТ Р 58092.3.1-2020 |
| Статус: | действующий |
| Название рус.: | Системы накопления электрической энергии (СНЭЭ). Проектирование и оценка рабочих параметров. Общие требования |
| Название англ.: | Electric energy storage (EES) systems. Planning and performance assessment. General requirements |
| Дата актуализации текста: | 01.01.2021 |
| Дата актуализации описания: | 01.07.2023 |
| Дата издания: | 02.07.2020 |
| Дата введения: | 01.11.2020 |
| Содержит требования: | IEC TS 62933-3-1(2018) |
| Нормативные ссылки: | ГОСТ 15543.1-89; ГОСТ 16504-81; ГОСТ 23216-78; ГОСТ 30546.2-98;ГОСТ IEC 60050-151-2014;ГОСТ IEC 61000-6-4-2016;ГОСТ IEC 61000-6-5-2017; ГОСТ Р 50571.16–2007; ГОСТ Р 50571.5.51-2013; ГОСТ Р 50571.5.54-2013; ГОСТ Р 51317.6.5-2006; ГОСТ Р 55194-2012; ГОСТ Р 55195-2012; ГОСТ Р 56257-2014; ГОСТ Р 58092.1-2018; ГОСТ Р 58092.2.1-2020; ГОСТ Р 58092.5.1-2018; ГОСТ Р ИСО/МЭК 27000-2012; ГОСТ Р МЭК 60870-5-101-2006; ГОСТ Р МЭК 60870-5-104-2004; ГОСТ Р МЭК 61850; ГОСТ Р МЭК 62443 |
| Область применения: | Настоящий стандарт распространяется на системы накопления электрической энергии (СНЭЭ), предназначенные для внутренней или наружной установки с присоединением к электрической сети, и устанавливает: - требуемые функции и возможности СНЭЭ; - виды испытаний и методы оценки рабочих параметров СНЭЭ; - требования к мониторингу и измерению рабочих характеристик СНЭЭ; - требования к обмену необходимой информацией о системе и возможностям управления. Для СНЭЭ, предназначенных для работы в составе Единой энергетической системы России и технологически изолированных территориальных электроэнергетических систем и относящихся к объектам диспетчеризации, на стадии технологического проектирования могут предъявляться дополнительные требования, обеспечивающие совместимость с требованиями к объектам электроэнергетики и энергопринимающим установкам потребителей электрической энергии, функционирующим в составе Единой энергетической системы России и технологически изолированных территориальных электроэнергетических системах в соответствии с актуальными нормами и правилами, и которые должны быть согласованы с субъектом оперативно-диспетчерского управления (ОДУ) соответствующего уровня |
|