| Обозначение: |  ГОСТ 2211-2020 |
| Статус: | действующий |
| Название рус.: | Огнеупоры и огнеупорное сырье. Методы определения истинной плотности |
| Название англ.: | Refractories and refractory raw materials. Methods of true density determination |
| Дата актуализации текста: | 01.01.2023 |
| Дата актуализации описания: | 01.07.2023 |
| Дата регистрации: | 30.04.2020 |
| Дата издания: | 14.07.2020 |
| Дата введения: | 01.03.2021 |
| Взамен: | ГОСТ 2211-65 |
| Нормативные ссылки: | ГОСТ 12.1.019; ГОСТ 12.2.007.9; ГОСТ 12.4.021;ГОСТ OIML R 76-1; ГОСТ 2409; ГОСТ 6613; ГОСТ 6709; ГОСТ 9880; ГОСТ 9949;ГОСТ ISO/IEC 17025; ГОСТ 22524; ГОСТ 24104; ГОСТ Р 53228-2008; ГОСТ 25336; ГОСТ 28498 |
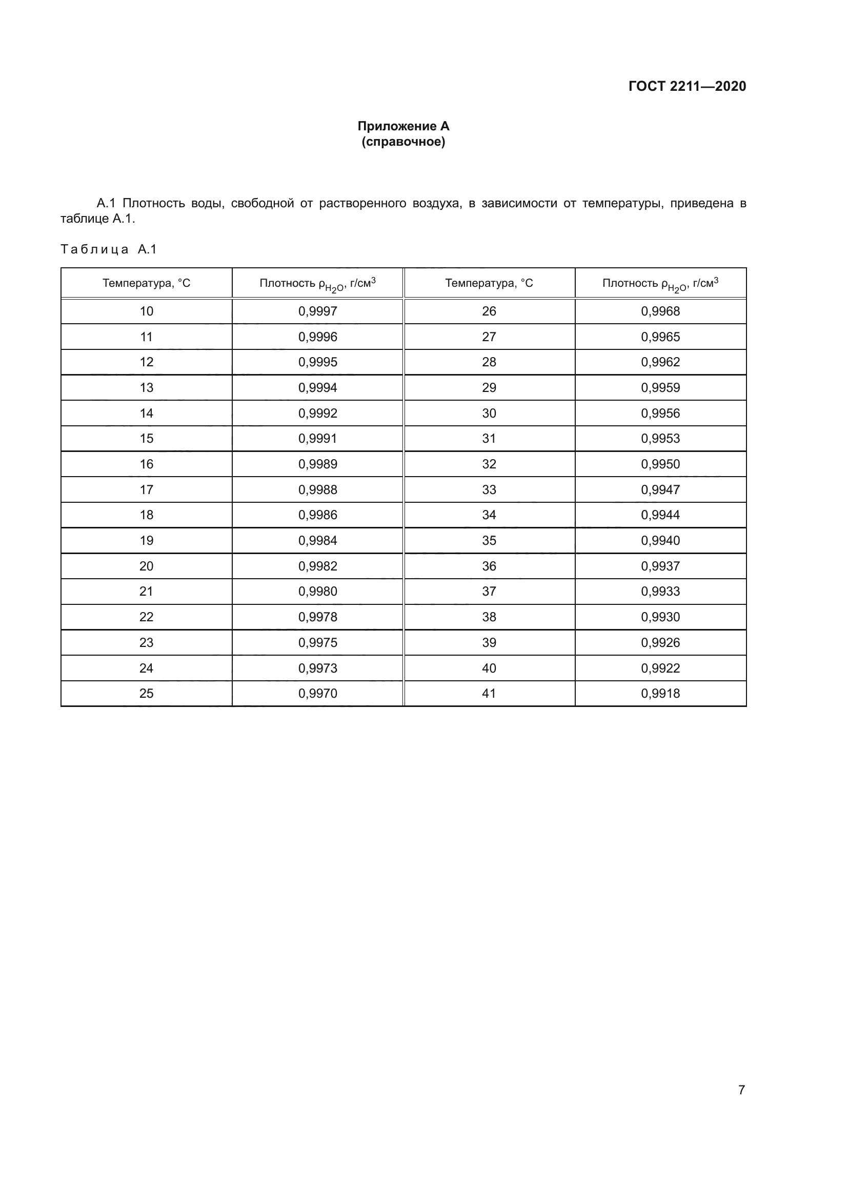
| Область применения: | Настоящий стандарт устанавливает методы определения истинной плотности огнеупоров: - пикнометрический метод; - экспресс-метод для динасовых огнеупорных изделий; - аппаратурный пикнометрический метод |
| Приложение №1: | Поправка к ГОСТ 2211-2020 |
| Приложение №2: | Поправка к ГОСТ 2211-2020 |
|