| Обозначение: |  ГОСТ Р 58092.2.1-2020 |
| Статус: | действующий |
| Название рус.: | Системы накопления электрической энергии (СНЭЭ). Параметры установок и методы испытаний. Общее описание |
| Название англ.: | Electric energy storage (ESS) systems. Unit parameters and test methods. General specification |
| Дата актуализации текста: | 01.01.2021 |
| Дата актуализации описания: | 01.07.2023 |
| Дата издания: | 02.07.2020 |
| Дата введения: | 01.11.2020 |
| Содержит требования: | IEC 62933-2-1(2017) |
| Нормативные ссылки: | ГОСТ 15150-1969; ГОСТ 15543.1-1989; ГОСТ 29322-2014; ГОСТ 30804.4.7-2013; ГОСТ 30804.6.1-2013; ГОСТ 30804.6.2-2013; ГОСТ 32144-2013;ГОСТ IEC 61000-6-5-2017; ГОСТ Р 50571.16-2007; ГОСТ Р 51317.6.5-2006; ГОСТ Р 54418.21-2011; ГОСТ Р 57382-2017; ГОСТ Р 58092.1-2018 |
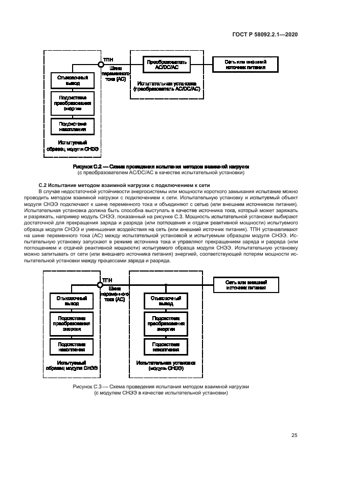
| Область применения: | Настоящий стандарт распространяется на системы накопления электрической энергии (СНЭЭ) и устанавливает перечень их основных параметров, влияющих на характеристики СНЭЭ, и методы испытаний для определения величин этих параметров. Для СНЭЭ, предназначенных для работы в составе Единой энергетической системы России и технологически изолированных территориальных электроэнергетических систем и относящихся к объектам диспетчеризации, могут быть установлены дополнительные параметры и на стадии технологического проектирования предъявлены соответствующие требования, обеспечивающие совместимость с требованиями к объектам электроэнергетики и энергопринимающим установкам потребителей электрической энергии, функционирующим в составе Единой энергетической системы России и технологически изолированных территориальных электроэнергетических систем в соответствии с актуальными нормами и правилами, и которые должны быть согласованы с субъектом оперативно-диспетчерского управления соответствующего уровня. Установление дополнительных параметров должно быть сопровождено установлением методов испытаний для определения их величин |
|