| Обозначение: |  ГОСТ 31610.0-2019 |
| Статус: | действующий |
| Название рус.: | Взрывоопасные среды. Часть 0. Оборудование. Общие требования |
| Название англ.: | Explosive atmospheres. Part 0. Equipment. General requirements |
| Дата актуализации текста: | 01.01.2026 |
| Дата актуализации описания: | 01.07.2023 |
| Дата регистрации: | 28.11.2019 |
| Дата издания: | 28.01.2020 |
| Дата введения: | 01.06.2020 |
| Взамен: | ГОСТ 31610.0-2012; ГОСТ 30852.0-2002 |
| Содержит требования: | IEC 60079-0(2017) |
| Нормативные ссылки: | ГОСТ 1481; ГОСТ 4647; ГОСТ 4648; ГОСТ 5915; ГОСТ 5927; ГОСТ 7795; ГОСТ 7796; ГОСТ 7798; ГОСТ 7805; ГОСТ 8724; ГОСТ 8878; ГОСТ 10605; ГОСТ 11074; ГОСТ 11075; ГОСТ 11262; ГОСТ 11284; ГОСТ 11738; ГОСТ 12876; ГОСТ 14254; ГОСТ 16093; ГОСТ 21341; ГОСТ 27174; ГОСТ 28964; ГОСТ 31610.5; ГОСТ 31610.6/IEC 60079-6:2015; ГОСТ 31610.7; ГОСТ 31610.11; ГОСТ 31610.13; ГОСТ 31610.15/IEC 60079-15:2010; ГОСТ 31610.18/IEC 60079-18:2014; ГОСТ 31610.20-1/IEC 60079-20-1:2010; ГОСТ 31610.20-2/ISO/IEC 80079-20-2:2016; ГОСТ 31610.26/IEC 60079-26:2014; ГОСТ 31610.28; ГОСТ 31610.30-1; ГОСТ 31610.32-1/IEC/TS 60079-32-1:2013; ГОСТ 31610.33; ГОСТ 31610.35-1; ГОСТ 31610.39; ГОСТ 31610.40/IEC/TS 60079-40:2015; ГОСТ 32407;ГОСТ ISO 7380-1;ГОСТ ISO/DIS 80079-37;ГОСТ IEC 60034-1;ГОСТ IEC 60034-5;ГОСТ IEC 60034-29;ГОСТ IEC 60079-1;ГОСТ IEC 60079-2;ГОСТ IEC 60079-14;ГОСТ IEC 60079-25; ГОСТ Р МЭК 60079-25-2012;ГОСТ IEC 60079-29-1;ГОСТ IEC 60079-31;ГОСТ IEC 60079-35-2;ГОСТ IEC 60947-1;ГОСТ IEC 62626-1; ГОСТ Р ИСО 4029-2013; ГОСТ Р МЭК 60079-20-1-2011; ГОСТ Р ИСО 4014-2013; ГОСТ Р ИСО 4027-2013; ГОСТ Р ИСО 4026-2013; ГОСТ Р ИСО 4028-2013; ГОСТ 31610.46-2020;ГОСТ IEC 60050-426 |
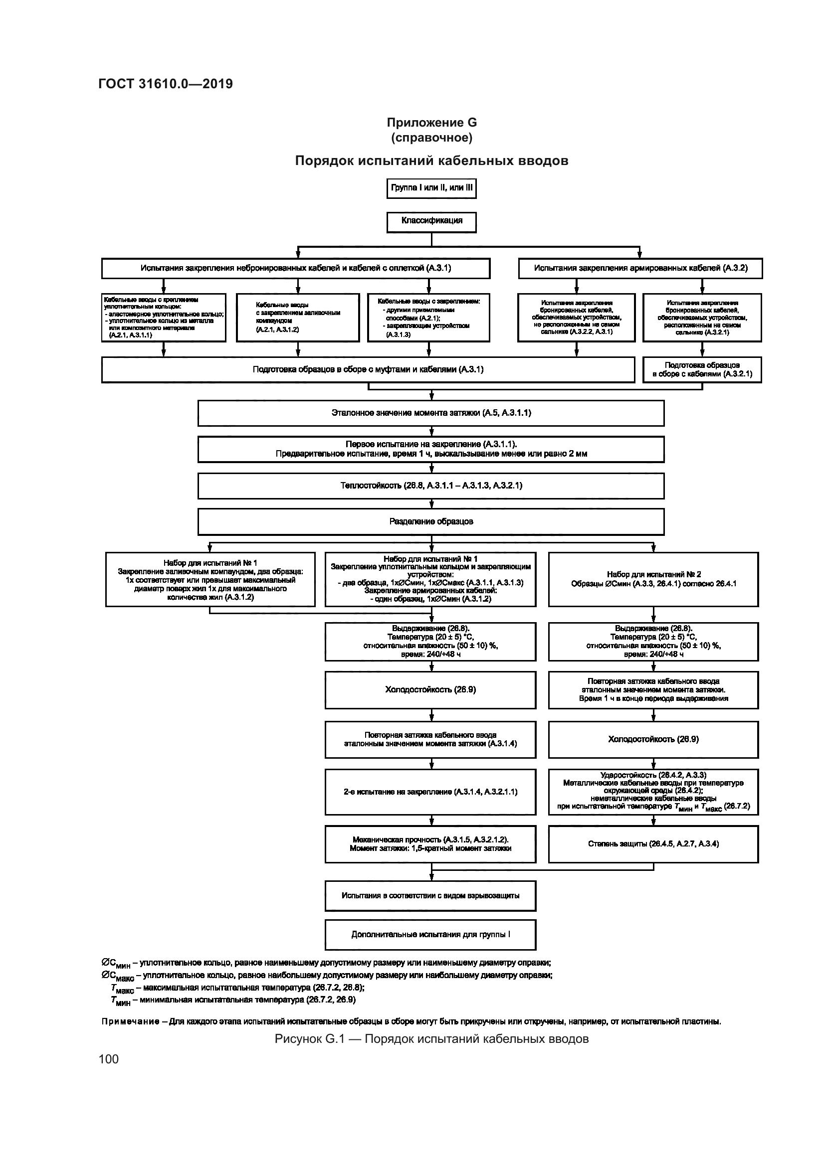
| Область применения: | Настоящий стандарт устанавливает общие требования по конструированию, испытанию и маркировке Ех-оборудования и Ех-компонентов, предназначенных для использования во взрывоопасных газовых и пылевых средах.Стандартными атмосферными условиями (относящимися к характеристикам среды c точки зрения взрыва), при которых предполагается возможность эксплуатации Ех-оборудования, являются: - температура от минус 20оС до плюс 60оС; - давление от 80 кПа (0,8 бар) до 110 кПа (1,1 бар); - воздух с нормальным содержанием кислорода, как правило, 21% по объему |
| Приложение №1: | Изменение №1 к ГОСТ 31610.0-2019 |
| Приложение №2: | Поправка к ГОСТ 31610.0-2019 |
| Приложение №3: | Поправка к ГОСТ 31610.0-2019 |
|