| Обозначение: |  ГОСТ 839-2019 |
| Статус: | действующий |
| Название рус.: | Провода неизолированные для воздушных линий электропередачи. Технические условия |
| Название англ.: | Non-insulated conductors for overhead power lines. Specifications |
| Дата актуализации текста: | 01.06.2024 |
| Дата актуализации описания: | 01.07.2023 |
| Дата регистрации: | 30.10.2019 |
| Дата издания: | 13.01.2020 |
| Дата введения: | 01.05.2020 |
| Взамен: | ГОСТ 839-80 |
| Нормативные ссылки: | ГОСТ 15.309;ГОСТ OIML R 76-1; ГОСТ 4784; ГОСТ 7229; ГОСТ 9850; ГОСТ 10446; ГОСТ 11069; ГОСТ 12177; ГОСТ 15150-69; ГОСТ 15845; ГОСТ 18690; ГОСТ 24234 |
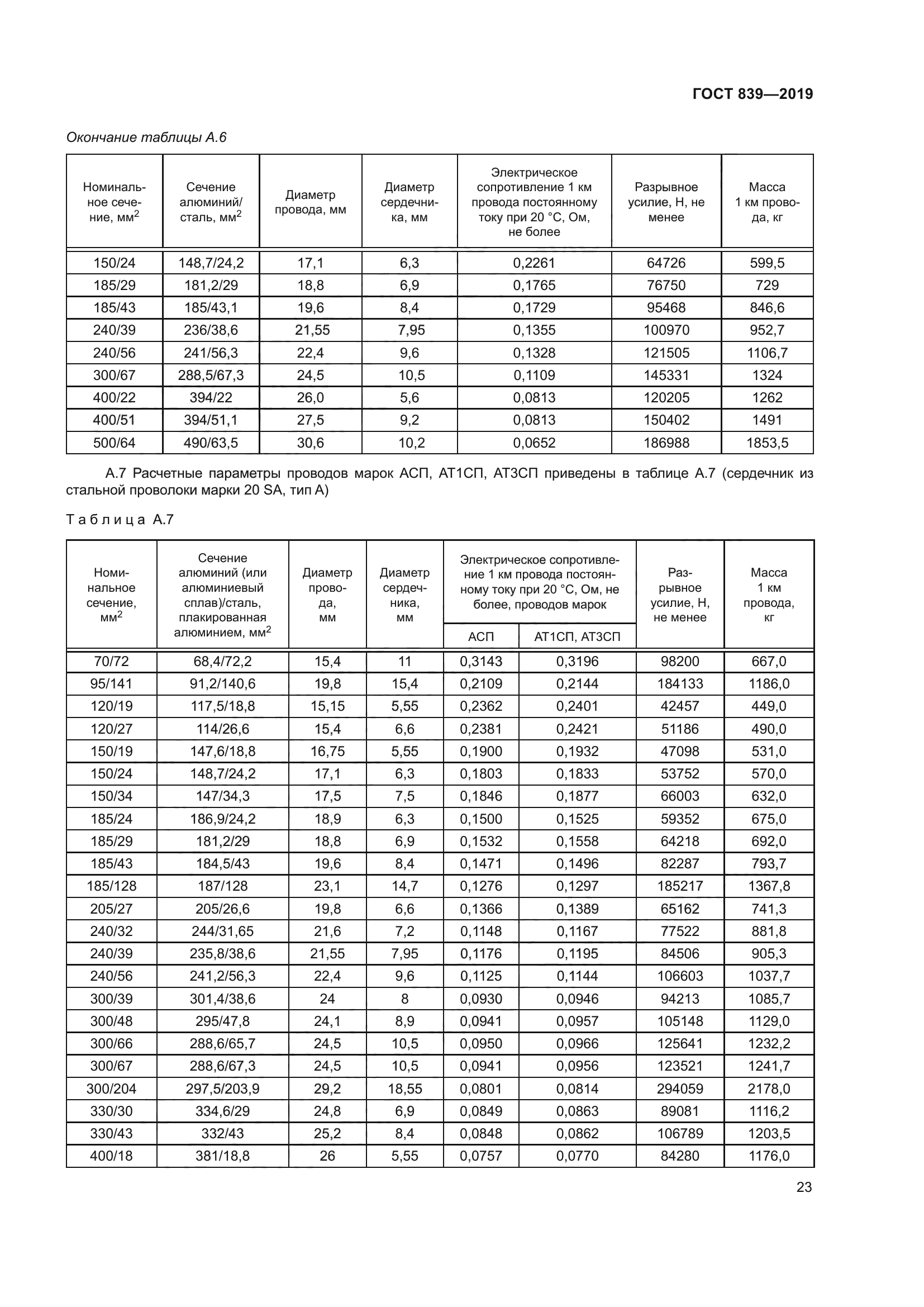
| Область применения: | Настоящий стандарт распространяется на медные, алюминиевые, из алюминиевых сплавов и сталеалюминиевые неизолированные провода, скрученные из круглых проволок (далее - провода), предназначенные для передачи электрической энергии в воздушных линиях электропередачи. Настоящий стандарт устанавливает основные требования к конструкциям и техническим характеристикам проводов, их эксплуатационные свойства и методы испытаний |
| Приложение №1: | Изменение к ГОСТ 839-2019. Поправка к изменению |
| Приложение №2: | Изменение №1 к ГОСТ 839-2019 |
| Приложение №3: | Поправка к ГОСТ 839-2019 |
| Приложение №4: | Поправка к ГОСТ 839-2019 |
| Приложение №5: | Поправка к ГОСТ 839-2019 |
|