| Обозначение: |  ГОСТ 21631-2019 |
| Статус: | не действует в РФ |
| Название рус.: | Листы из алюминия и алюминиевых сплавов. Технические условия |
| Название англ.: | Sheets of aluminium and aluminium alloys. Specifications |
| Дата актуализации текста: | 01.01.2021 |
| Дата актуализации описания: | 01.07.2023 |
| Дата регистрации: | 30.10.2019 |
| Дата издания: | 16.01.2020 |
| Дата введения: | 01.06.2020 |
| Дата окончания срока действия: | 23.12.2020 |
| Взамен: | ГОСТ 21631-76 |
| Нормативные ссылки: | ГОСТ 9.510; ГОСТ 427; ГОСТ 1131; ГОСТ 1497; ГОСТ 2789; ГОСТ 3221; ГОСТ 3749; ГОСТ 4784; ГОСТ 5009; ГОСТ 5378; ГОСТ 6456; ГОСТ 6507; ГОСТ 7502; ГОСТ 7727; ГОСТ 8026; ГОСТ 11069; ГОСТ 11701; ГОСТ 11739.1; ГОСТ 11739.2; ГОСТ 11739.3; ГОСТ 11739.4; ГОСТ 11739.5; ГОСТ 11739.6; ГОСТ 11739.7; ГОСТ 11739.8; ГОСТ 11739.10; ГОСТ 11739.11; ГОСТ 11739.12; ГОСТ 11739.13; ГОСТ 11739.14; ГОСТ 11739.15; ГОСТ 11739.16; ГОСТ 11739.19; ГОСТ 11739.20; ГОСТ 11739.21; ГОСТ 11739.22; ГОСТ 11739.23; ГОСТ 11739.24; ГОСТ 12697.1; ГОСТ 12697.2; ГОСТ 12697.3; ГОСТ 12697.4; ГОСТ 12697.5; ГОСТ 12697.6; ГОСТ 12697.7; ГОСТ 12697.8; ГОСТ 12697.9; ГОСТ 12697.10; ГОСТ 12697.11; ГОСТ 12697.12; ГОСТ 14192; ГОСТ 19300; ГОСТ 24047; ГОСТ 24231; ГОСТ 25086; ГОСТ 26877 |
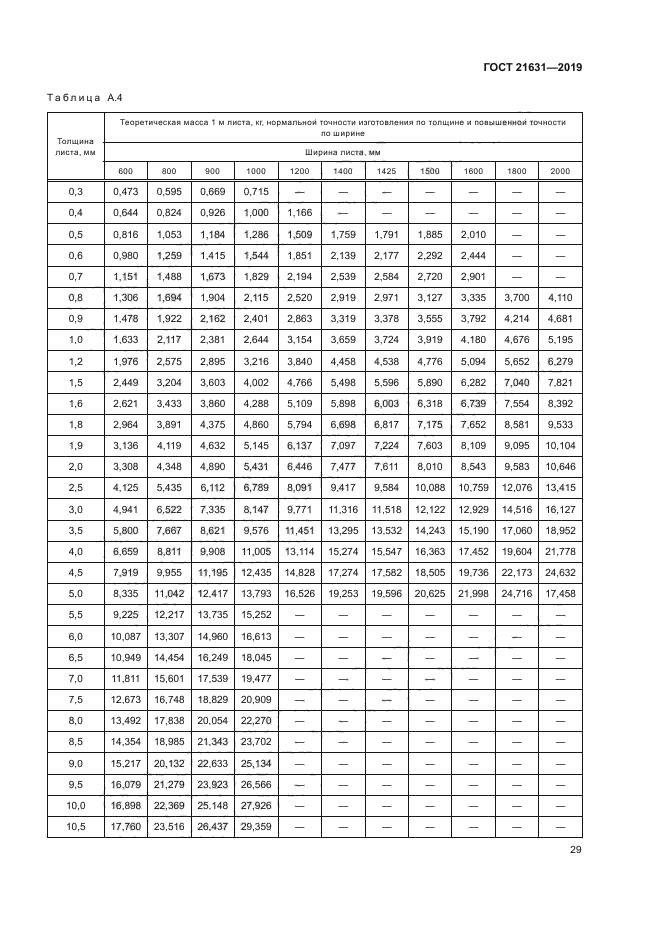
| Область применения: | Настоящий стандарт распространяется на листы из алюминия и алюминиевых сплавов общего и специального назначения |
|