| Обозначение: |  ГОСТ Р 58671-2019 |
| Статус: | действующий |
| Название рус.: | Карты идентификационные. Карты на интегральных схемах. Часть 11. Верификация личности биометрическими методами |
| Название англ.: | Identification cards. Integrated circuit cards. Part 11. Personal verification through biometric methods |
| Дата актуализации текста: | 01.01.2021 |
| Дата актуализации описания: | 01.07.2023 |
| Дата издания: | 11.02.2020 |
| Дата введения: | 01.06.2020 |
| Взамен: | ГОСТ Р ИСО/МЭК 7816-11-2013 |
| Содержит требования: | ISO/IEC 7816-11:2017 |
| Нормативные ссылки: | ГОСТ 7.67;ГОСТ ISO/IEC 2382-37;ГОСТ ISO/IEC 7812-1; ГОСТ Р ИСО/МЭК 7816-4-2013; ГОСТ Р ИСО/МЭК 7816-6; ГОСТ Р ИСО/МЭК 8825-1; ГОСТ Р 58230; ГОСТ Р 58294 |
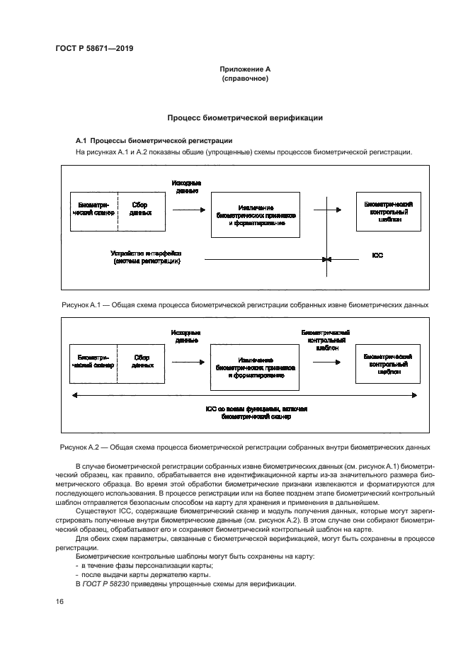
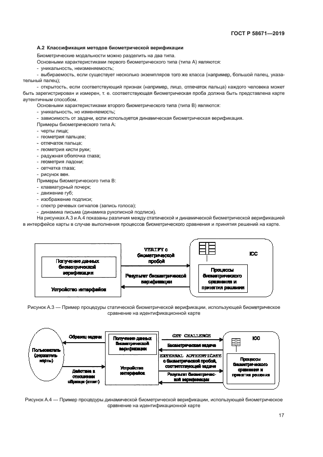
| Область применения: | Настоящий стандарт устанавливает межотраслевые команды, связанные с системой защиты и используемые для биометрической верификации личности с помощью карт на интегральных схемах. В настоящем стандарте также определены структура данных и методы доступа к данным для использования карты в качестве носителя биометрического контрольного шаблона и/или устройства, позволяющего выполнить верификацию биометрической пробы владельца карты (т. е. биометрическое сравнение на идентификационной карте). Биометрическая идентификация личности, а также требования к криптографической защите информации, которые используются для обеспечения подлинности, целостности и конфиденциальности хранимых и передаваемых биометрических данных, выходят за рамки настоящего стандарта |
|