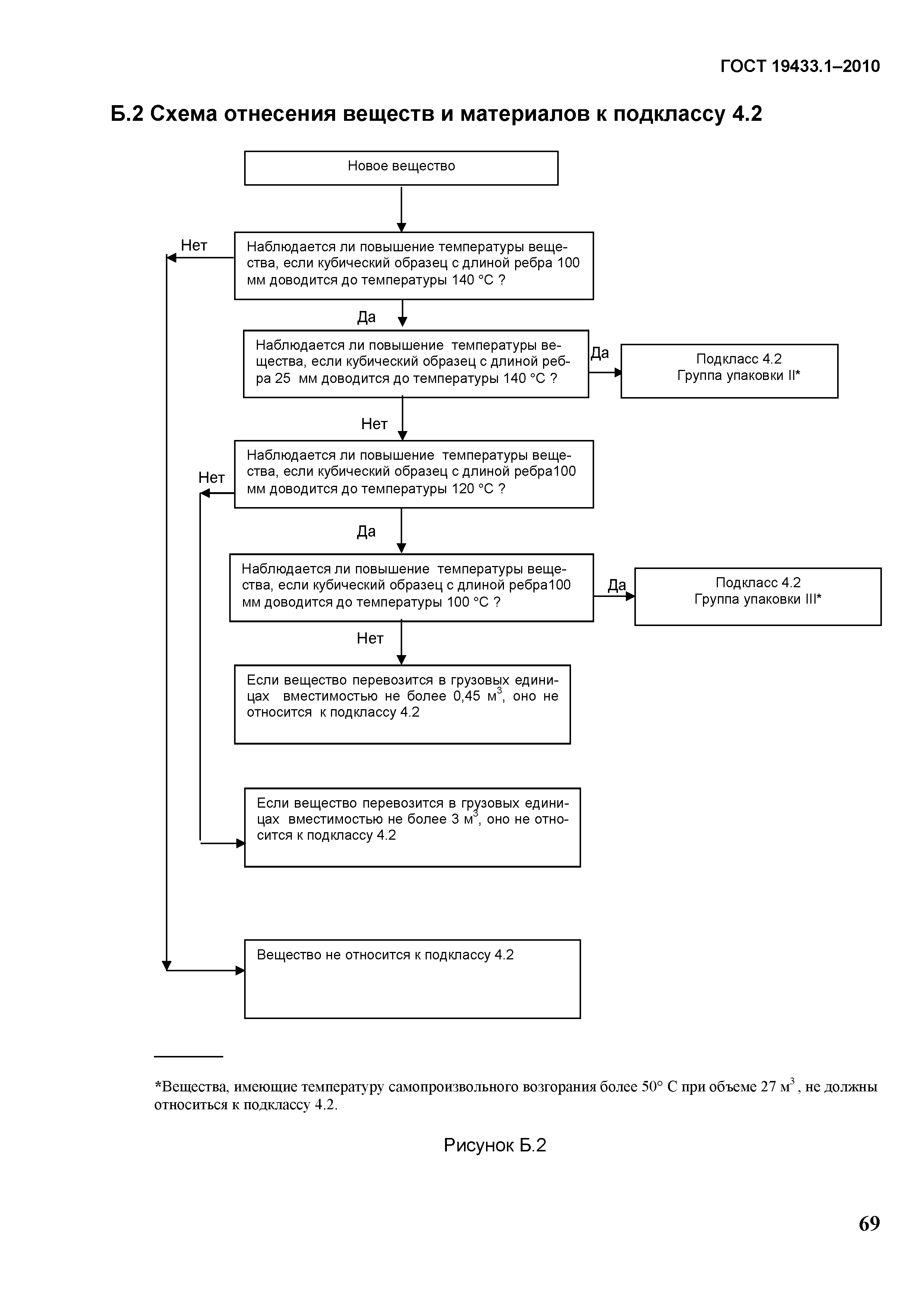
Скачать ГОСТ 19433.1-2010 Грузы опасные. КлассификацияДата актуализации: 01.06.2025 ГОСТ 19433.1-2010
Грузы опасные. Классификация
| Обозначение: |  ГОСТ 19433.1-2010 |
| Статус: | утверждён |
| Название рус.: | Грузы опасные. Классификация | | Дата актуализации текста: | 01.02.2020 | | Дата актуализации описания: | 01.02.2020 | | Дата введения: | 10.06.2010 | |
                                                                           
|