| Обозначение: |  ГОСТ Р 58676-2019 |
| Статус: | заменён |
| Название рус.: | Электронная конструкторская документация. Виды преобразований |
| Название англ.: | Electronic design documentation. Types of transformations |
| Дата актуализации текста: | 01.06.2022 |
| Дата актуализации описания: | 01.06.2024 |
| Дата издания: | 19.12.2019 |
| Дата введения: | 01.06.2020 |
| Дата окончания срока действия: | 01.03.2024 |
| Заменяющий: | ГОСТ Р 2.531-2023 |
| Нормативные ссылки: | ГОСТ 2.051; ГОСТ 2.058; ГОСТ 2.104; ГОСТ Р 58299; ГОСТ Р 58300 |
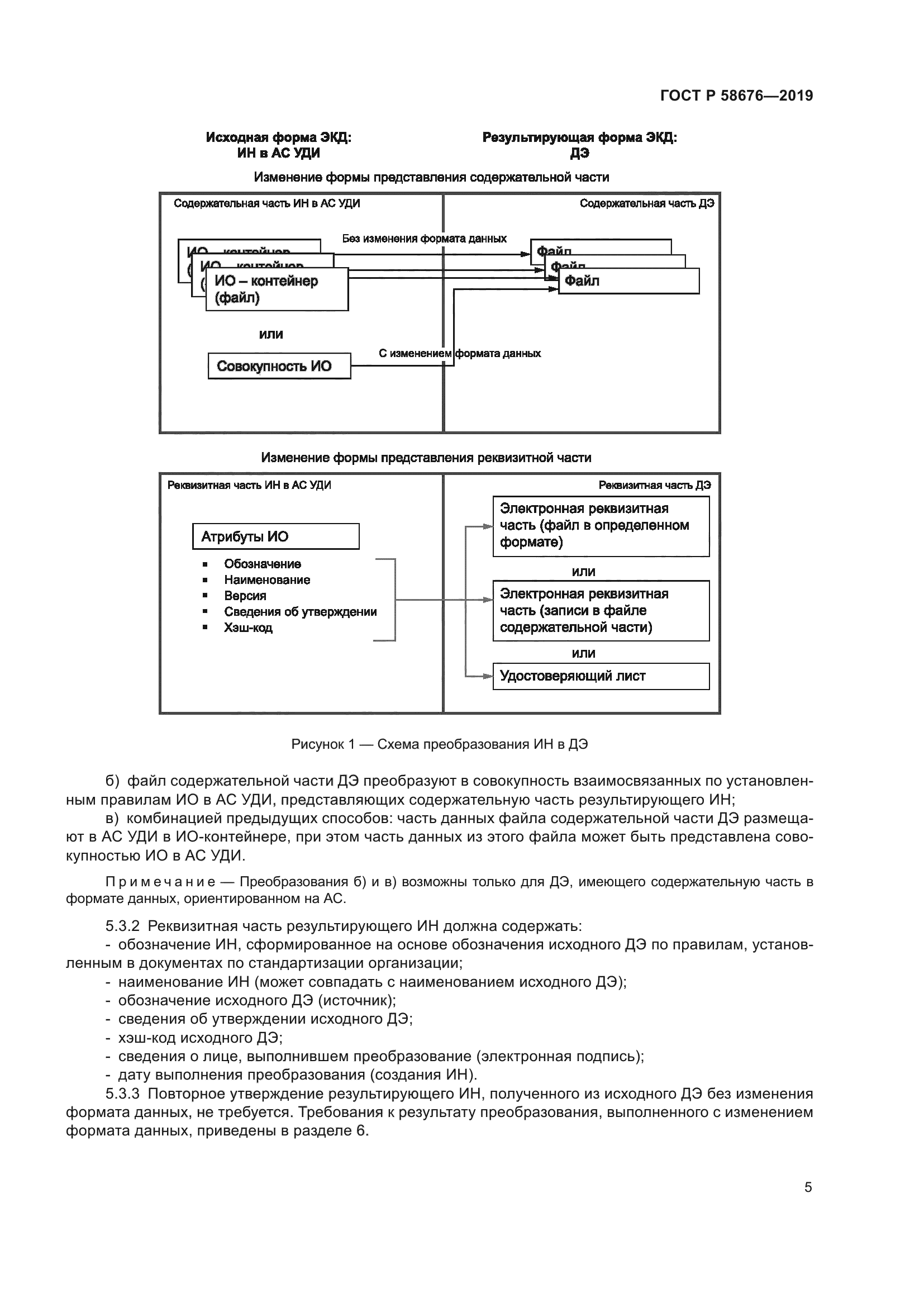
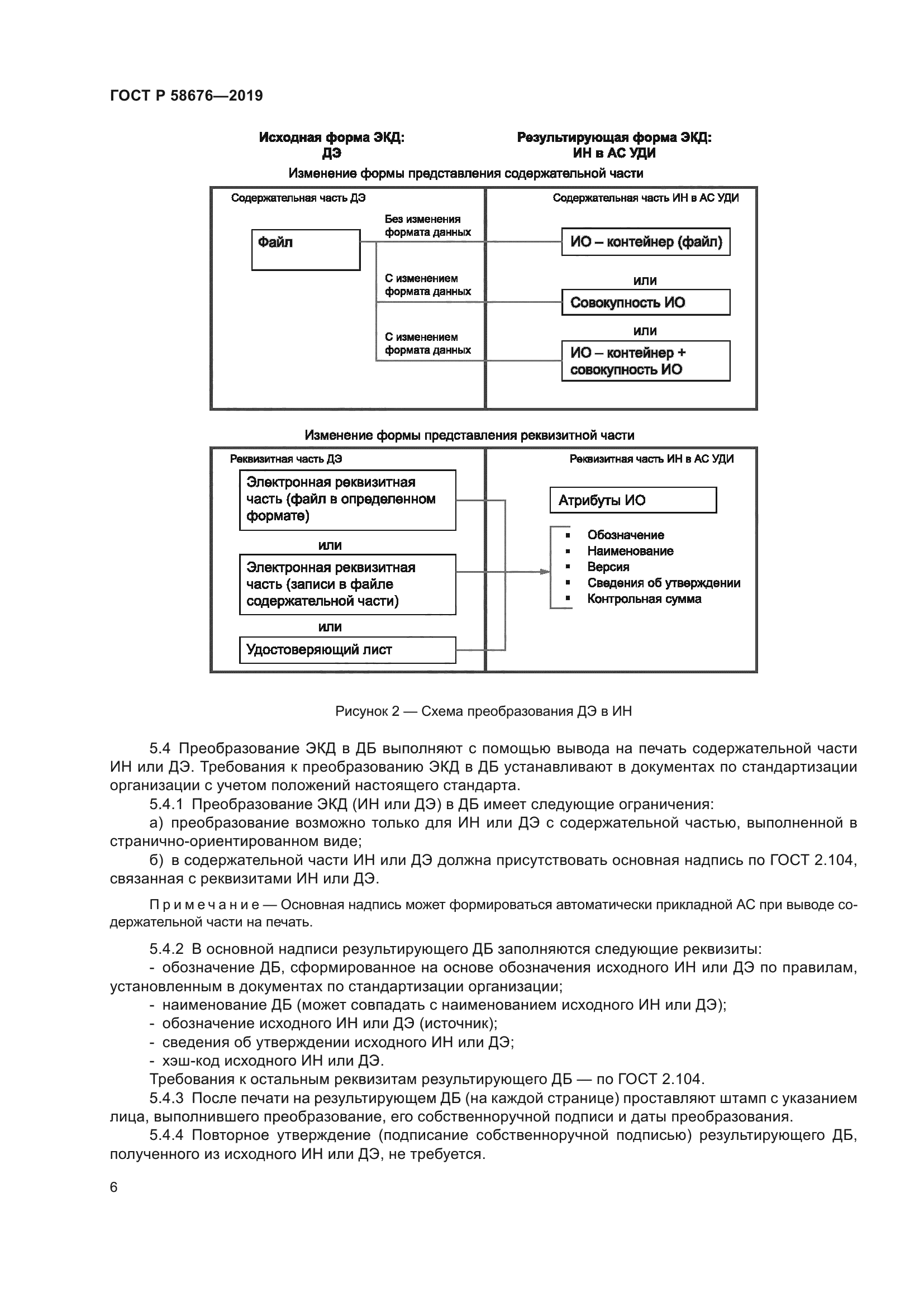
| Область применения: | Настоящий стандарт устанавливает виды преобразований электронной конструкторской документации, представленной в различных формах и форматах. Настоящий стандарт распространяется на изделия машиностроения и приборостроения, в том числе на продукцию военного и двойного назначения |
|