Скачать ГОСТ Р 58341.3-2019 Форма паспорта, свидетельства об изготовлении, свидетельства о монтаже оборудования и трубопроводов, форма свидетельства о монтаже локализующих систем безопасности (элементов локализующих систем безопасности) блока атомной станции. Структура и содержаниеДата актуализации: 01.06.2025 ГОСТ Р 58341.3-2019
Форма паспорта, свидетельства об изготовлении, свидетельства о монтаже оборудования и трубопроводов, форма свидетельства о монтаже локализующих систем безопасности (элементов локализующих систем безопасности) блока атомной станции. Структура и содержание
| Обозначение: |  ГОСТ Р 58341.3-2019 |
| Статус: | действующий |
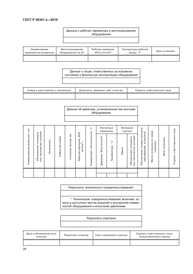
| Название рус.: | Форма паспорта, свидетельства об изготовлении, свидетельства о монтаже оборудования и трубопроводов, форма свидетельства о монтаже локализующих систем безопасности (элементов локализующих систем безопасности) блока атомной станции. Структура и содержание | | Название англ.: | Form of passport, certificate of production, certificate of equipment installation and pipelines, the form of the certificate of installation of localizing safety systems, elements of localizing safety systems of nuclear power plant. The structure and content | | Дата актуализации текста: | 01.01.2021 | | Дата актуализации описания: | 01.01.2021 | | Дата издания: | 22.11.2019 | | Дата введения: | 01.02.2020 | | Нормативные ссылки: | ГОСТ Р 58341.1 | | Область применения: | Настоящий стандарт устанавливает требования к структуре и содержанию паспорта (кроме арматуры), свидетельства об изготовлении, свидетельства о монтаже оборудования и трубопроводов, свидетельства о монтаже локализующих систем безопасности (элементов локализующих систем безопасности) блока атомной станции с реакторными установками типа водо-водяного энергетического реактора, реактора большой мощности канального, реактора на быстрых нейтронах и энергетического гетерогенного петлевого реактора, для которых установлены требования в [1], [2], [3], [4], [5], [6] | |
                                        
|