Скачать ГОСТ Р 58613-2019 Проектирование и освоение газовых, газоконденсатных, нефтегазовых и нефтегазоконденсатных месторождений. Движение геолого-технологической информации в процессе геологического и гидродинамического моделирования на месторожденияхДата актуализации: 01.06.2025 ГОСТ Р 58613-2019
Проектирование и освоение газовых, газоконденсатных, нефтегазовых и нефтегазоконденсатных месторождений. Движение геолого-технологической информации в процессе геологического и гидродинамического моделирования на месторождениях
| Обозначение: |  ГОСТ Р 58613-2019 |
| Статус: | действующий |
| Название рус.: | Проектирование и освоение газовых, газоконденсатных, нефтегазовых и нефтегазоконденсатных месторождений. Движение геолого-технологической информации в процессе геологического и гидродинамического моделирования на месторождениях | | Название англ.: | Design and development of fields of gas, gas condensate oil and gas, oil and gas condensate. Movement of geological and technological information in the process of geological and hydrodynamic modeling | | Дата актуализации текста: | 01.01.2021 | | Дата актуализации описания: | 01.07.2023 | | Дата издания: | 21.11.2019 | | Дата введения: | 01.07.2020 | | Нормативные ссылки: | ГОСТ 1.1; ГОСТ 8.417; ГОСТ Р 50922; ГОСТ Р ИСО 15926-2; ГОСТ Р 58043; ГОСТ Р 58141-2018; ГОСТ Р 58435 | | Область применения: | Настоящий стандарт определяет технические правила организации процесса обмена геолого-технологической информацией при решении задач геологического и гидродинамического моделирования месторождений | |
         
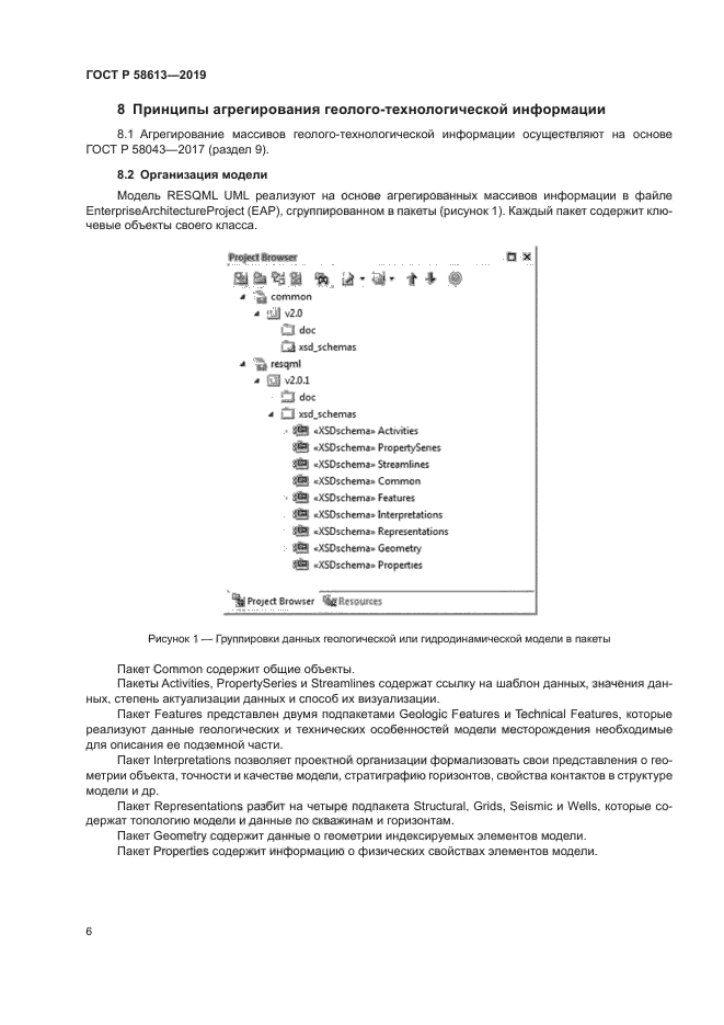
|