Скачать ГОСТ 34495-2018 Тракторы и машины сельскохозяйственные, работающие на газомоторном топливе. Требования безопасности при эксплуатации тракторов и машин сельскохозяйственных, работающих на сжиженном природном газеДата актуализации: 01.01.2026 ГОСТ 34495-2018
Тракторы и машины сельскохозяйственные, работающие на газомоторном топливе. Требования безопасности при эксплуатации тракторов и машин сельскохозяйственных, работающих на сжиженном природном газе
| Обозначение: |  ГОСТ 34495-2018 |
| Статус: | действующий |
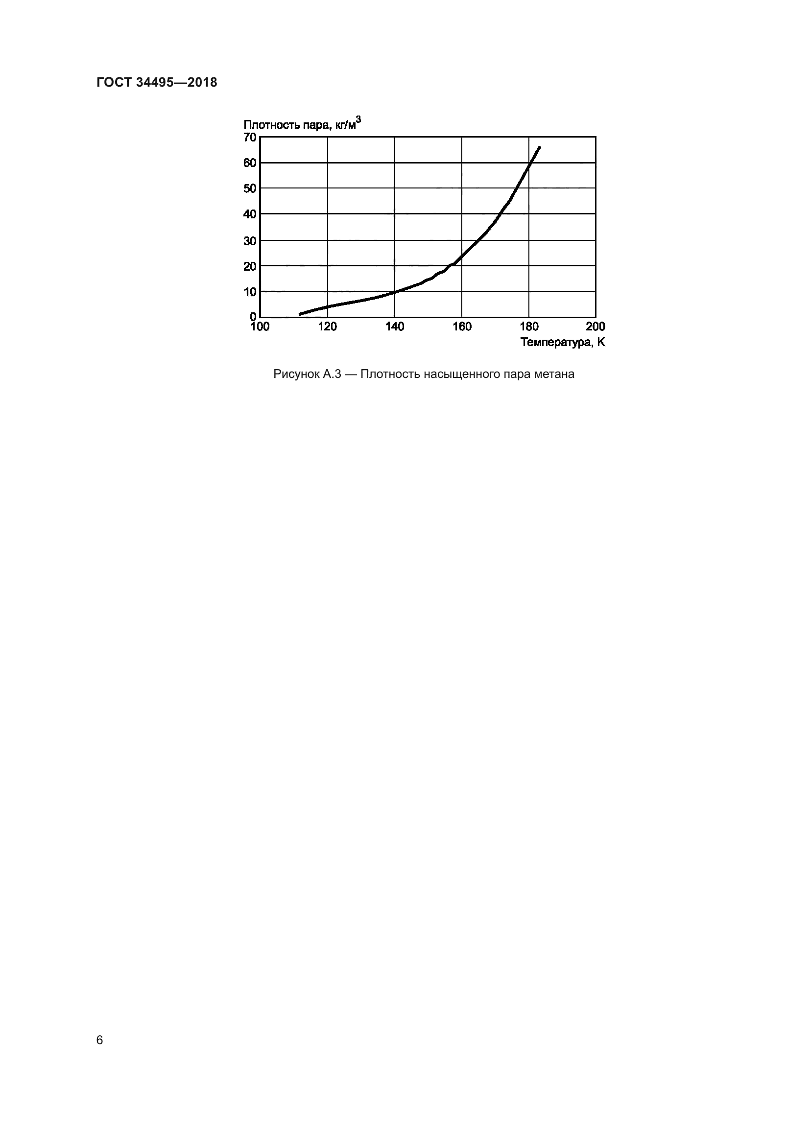
| Название рус.: | Тракторы и машины сельскохозяйственные, работающие на газомоторном топливе. Требования безопасности при эксплуатации тракторов и машин сельскохозяйственных, работающих на сжиженном природном газе | | Название англ.: | Tractors and agricultural machines using natural gas as a motor fuel. Safety requirements for the operation of tractors and agricultural machines using liquefied natural gas | | Дата актуализации текста: | 01.01.2026 | | Дата актуализации описания: | 01.07.2023 | | Дата регистрации: | 29.11.2018 | | Дата издания: | 21.11.2019 | | Дата введения: | 01.07.2020 | | Нормативные ссылки: | ГОСТ 8505-80; ГОСТ 9968-86; ГОСТ 34501-2018 | | Область применения: | Настоящий стандарт устанавливает требования безопасности при эксплуатации тракторов и самоходных сельскохозяйственных машин, оснащенных газобаллонным оборудованием и использующих в качестве моторного топлива сжиженный природный газ. | |
                   
|