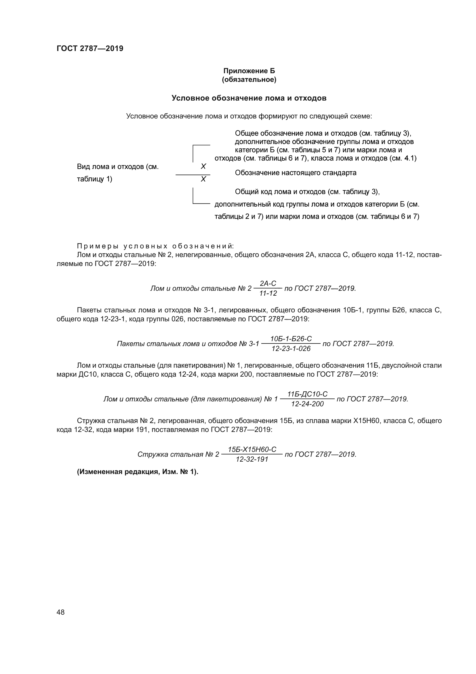
| Обозначение: |  ГОСТ 2787-2019 |
| Статус: | заменён |
| Название рус.: | Металлы черные вторичные. Общие технические условия |
| Название англ.: | Ferrous secondary metals. General specifications |
| Дата актуализации текста: | 01.06.2022 |
| Дата актуализации описания: | 01.01.2025 |
| Дата регистрации: | 28.06.2019 |
| Дата издания: | 30.03.2022 |
| Дата введения: | 01.05.2022 |
| Дата окончания срока действия: | 01.01.2025 |
| Взамен: | ГОСТ 2787-75 |
| Заменяющий: | ГОСТ 2787-2024 |
| Нормативные ссылки: | ГОСТ 12.1.005; ГОСТ 12.1.010; ГОСТ 12.3.002; ГОСТ 12.3.009; ГОСТ 12.3.027; ГОСТ 12.4.021; ГОСТ 17.4.2.01; ГОСТ 166; ГОСТ 427; ГОСТ 2246; ГОСТ 2604.1; ГОСТ 2604.2; ГОСТ 2604.3; ГОСТ 2604.4; ГОСТ 2604.5; ГОСТ 2604.6; ГОСТ 2604.7; ГОСТ 2604.8; ГОСТ 2604.9; ГОСТ 2604.10; ГОСТ 2604.11; ГОСТ 2604.13; ГОСТ 2604.14; ГОСТ 4543; ГОСТ 5632; ГОСТ 5950; ГОСТ 7502; ГОСТ 7769; ГОСТ 10994; ГОСТ 12344; ГОСТ 12345; ГОСТ 12346; ГОСТ 12347; ГОСТ 12348; ГОСТ 12349; ГОСТ 12350; ГОСТ 12351; ГОСТ 12352; ГОСТ 12353; ГОСТ 12354; ГОСТ 12355; ГОСТ 12356; ГОСТ 12357; ГОСТ 12358; ГОСТ 12359; ГОСТ 12360; ГОСТ 12361; ГОСТ 12362; ГОСТ 12363; ГОСТ 12364; ГОСТ 12365; ГОСТ 16482; ГОСТ 18895; ГОСТ 19265; ГОСТ 19433; ГОСТ 20072; ГОСТ 22536.1; ГОСТ 22536.2; ГОСТ 22536.3; ГОСТ 22536.4; ГОСТ 22536.5; ГОСТ 22536.6; ГОСТ 22536.7; ГОСТ 22536.8; ГОСТ 22536.9; ГОСТ 22536.10; ГОСТ 22536.11; ГОСТ 22536.12; ГОСТ 24297; ГОСТ 25054; ГОСТ 27611; ГОСТ 28033; ГОСТ 28473; ГОСТ Р 58486–2019; ГОСТ 16504 |
| Область применения: | Настоящий стандарт распространяется на вторичные черные металлы, в том числе после переработки, предназначенные для использования в качестве металлической шихты в плавильных агрегатах при производстве чугуна, стали и сплавов, а также при производстве ферросплавов |
| Приложение №1: | Изменение №1 к ГОСТ 2787-2019 |
|