| Обозначение: |  ГОСТ Р ИСО 10303-242-2019 |
| Статус: | действующий |
| Название рус.: | Системы автоматизации производства и их интеграция. Представление данных об изделии и обмен этими данными. Часть 242. Прикладной протокол. Управляемое проектирование на основе модели 3D |
| Название англ.: | Industrial automation systems and integration. Product data representation and exchange. Part 242. Application protocol. Managed model-based 3D engineering |
| Дата актуализации текста: | 01.02.2020 |
| Дата актуализации описания: | 01.07.2023 |
| Дата издания: | 09.10.2019 |
| Дата введения: | 01.01.2020 |
| Аутентичен стандартам: | ISO 10303-242:2014 |
| Нормативные ссылки: | ISO 10303-1;ISO 10303-11;ISO 10303-21;ISO/TS 10303-28;ISO 10303-31;ISO/TS 10303-442;ISO/TS 10303-3001 |
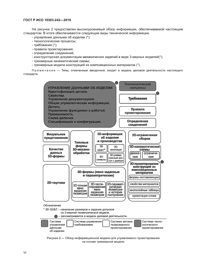
| Область применения: | В настоящем стандарте специфицировано использование объединенных информационных ресурсов для обеспечения области действия и удовлетворения потребностей в информации при рабочем проектировании механических деталей и сборочных единиц |
| Приложение №1: | Изменение №1 к ГОСТ Р ИСО 10303-242-2019 |
|