| Обозначение: |  ГОСТ 17319-2019 |
| Статус: | действующий |
| Название рус.: | Реактивы. Методы определения примеси тяжелых металлов |
| Название англ.: | Reagents. Methods for determination of heavy metals |
| Дата актуализации текста: | 01.01.2024 |
| Дата актуализации описания: | 01.07.2023 |
| Дата регистрации: | 30.07.2019 |
| Дата издания: | 28.08.2019 |
| Дата введения: | 01.06.2020 |
| Взамен: | ГОСТ 17319-76 |
| Нормативные ссылки: | ГОСТ 12.1.004; ГОСТ 12.1.007; ГОСТ 12.4.009; ГОСТ 12.4.021; ГОСТ 61; ГОСТ 1770; ГОСТ 2053; ГОСТ 3117; ГОСТ 3118; ГОСТ 3760; ГОСТ 4171; ГОСТ 4204; ГОСТ 4212; ГОСТ 4328; ГОСТ 4461; ГОСТ 4517; ГОСТ 5845; ГОСТ 6709; ГОСТ 9147; ГОСТ 24104; ГОСТ Р 53228; ГОСТ 25336; ГОСТ 27025; ГОСТ 29227 |
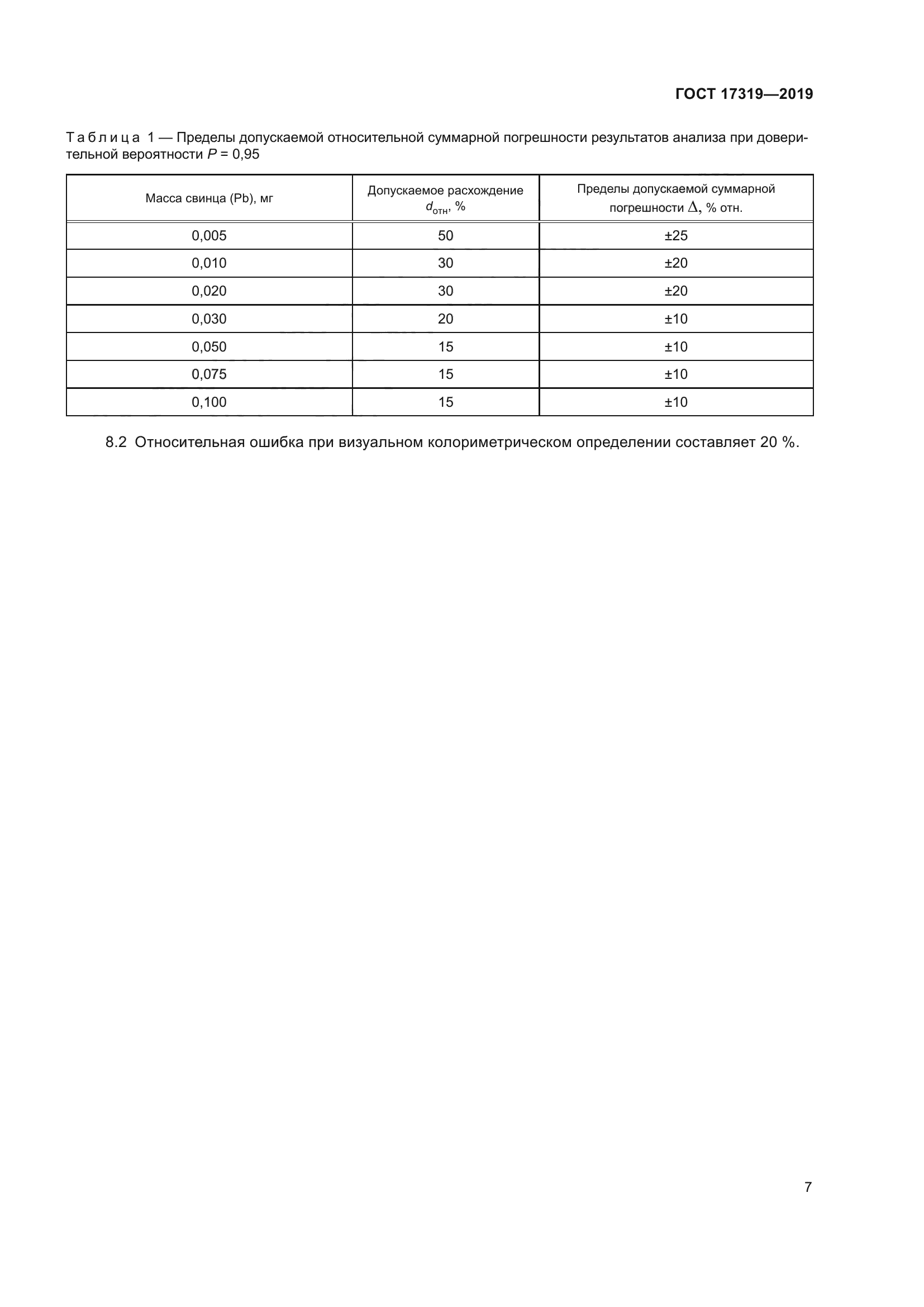
| Область применения: | Настоящий стандарт распространяется на реактивы и устанавливает сероводородный и тиоацетамидный методы определения примеси тяжелых металлов в неорганических и органических реактивах, основное вещество которых не реагирует с сероводородом и тиоацетамидом |
| Приложение №1: | Поправка к ГОСТ 17319-2019 |
| Приложение №2: | Поправка к ГОСТ 17319-2019 |
|