| Обозначение: |  ГОСТ Р 43.2.9-2019 |
| Статус: | действующий |
| Название рус.: | Информационное обеспечение техники и операторской деятельности. Язык операторской деятельности. Алгоритмизированное изложение сведений в технической интегрально-лингвосемантизированной информации |
| Название англ.: | Informational ensuring of equipment and operational activity. Language of operation activity. Algorithmic presentation of intelligence in technical integral-lingvosemanticated information |
| Дата актуализации текста: | 10.10.2019 |
| Дата актуализации описания: | 01.07.2023 |
| Дата издания: | 08.08.2019 |
| Дата введения: | 01.07.2020 |
| Нормативные ссылки: | ГОСТ Р 2.102; ГОСТ Р 43.0.1; ГОСТ Р 43.0.2; ГОСТ Р 43.0.3; ГОСТ Р 43.0.5; ГОСТ Р 43.0.6; ГОСТ Р 43.2.1; ГОСТ Р 43.4.1 |
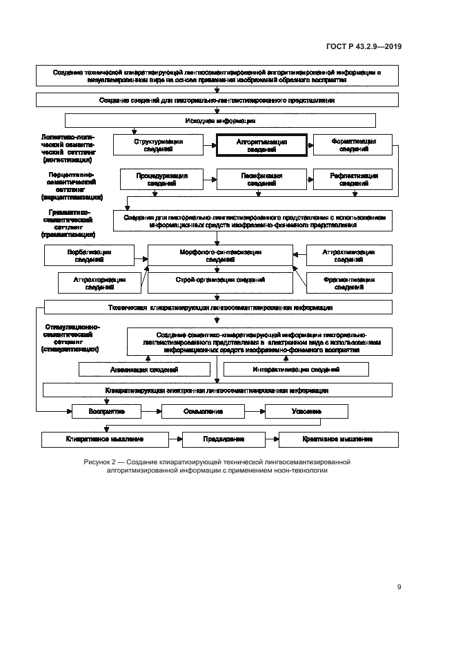
| Область применения: | Настоящий стандарт устанавливает общие, основные положения по разработке технической интегрально лингвосемантизированной информации с алгоритмизированным изложением локализованных в пространстве и времени сведений содержащихся в ней в виде форматов сообщений (с использованием грамматики языка операторской деятельности) для технических документов, в том числе эксплуатационной документации и ремонтной документации, выполненных в бумажной и/или в электронной форме |
|