| Обозначение: |  ГОСТ 34452-2018 |
| Статус: | действующий |
| Название рус.: | Разъединители для тяговой сети железных дорог и приводы к ним. Общие технические условия |
| Название англ.: | Disconnectors for railways traction network and operating mechanisms for them. General specifications |
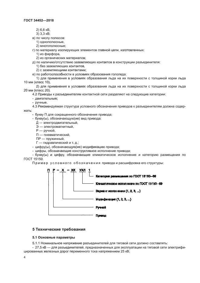
| Дата актуализации текста: | 01.01.2021 |
| Дата актуализации описания: | 01.07.2023 |
| Дата регистрации: | 30.08.2018 |
| Дата издания: | 31.05.2019 |
| Дата введения: | 01.12.2019 |
| Нормативные ссылки: | ГОСТ 9.032-74; ГОСТ 9.302-88; ГОСТ 9.307-89; ГОСТ 15.309-98; ГОСТ 166-89; ГОСТ 427-75; ГОСТ 839-80; ГОСТ 1516.2-97; ГОСТ 8024-90; ГОСТ 9920-89; ГОСТ 13837-79; ГОСТ 14254-2015; ГОСТ 14312-79; ГОСТ 15140-78; ГОСТ 15150-69; ГОСТ 15151-69; ГОСТ 15543.1-89; ГОСТ 16504-81; ГОСТ 16962.1-89; ГОСТ 16962.2-90; ГОСТ 17412-72; ГОСТ 17516.1-90; ГОСТ 18311-80; ГОСТ 18321-73; ГОСТ 18620-86; ГОСТ 21130-75; ГОСТ 23216-78; ГОСТ 27473-87 |
| Область применения: | Настоящий стандарт распространяется на разъединители и приводы к ним для тяговой сети электрифицированных железных дорог напряжением 3 кВ постоянного и 25 кВ переменного тока и устанавливает общие технические требования. Настоящий стандарт не распространяется на разъединители переменного тока общепромышленного исполнения на номинальное напряжение 35 кВ и приводы к ним, применяемые на тяговой сети электрифицированных железных дорог |
|