| Обозначение: |  ГОСТ 34.13-2018 |
| Статус: | действующий |
| Название рус.: | Информационная технология. Криптографическая защита информации. Режимы работы блочных шифров |
| Название англ.: | Information technology. Cryptographic data security. Modes of operation for block ciphers |
| Дата актуализации текста: | 01.06.2024 |
| Дата актуализации описания: | 01.01.2021 |
| Дата регистрации: | 29.11.2018 |
| Дата издания: | 09.01.2019 |
| Дата введения: | 01.06.2019 |
| Взамен в части: | ГОСТ 28147-89 в части раздела 2, 3, 4, 5 |
| Область применения: | Настоящий стандарт распространяется на криптографическую защиту информации и определяет режимы работы блочных шифров. Режимы работы блочных шифров, определенные в настоящем стандарте, рекомендуется использовать при разработке, производстве, эксплуатации и модернизации средств криптографической защиты информации в системах обработки информации различного назначения |
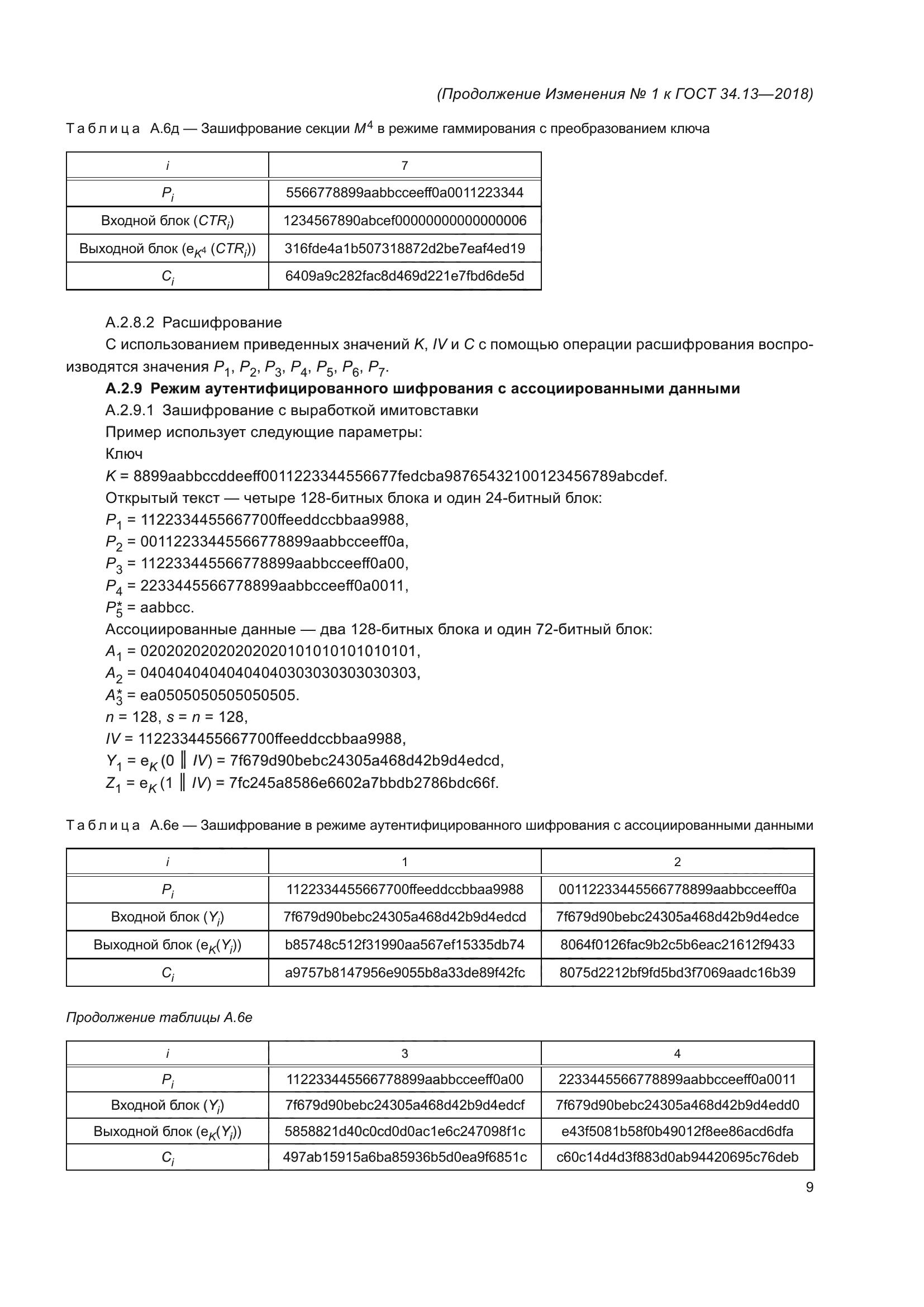
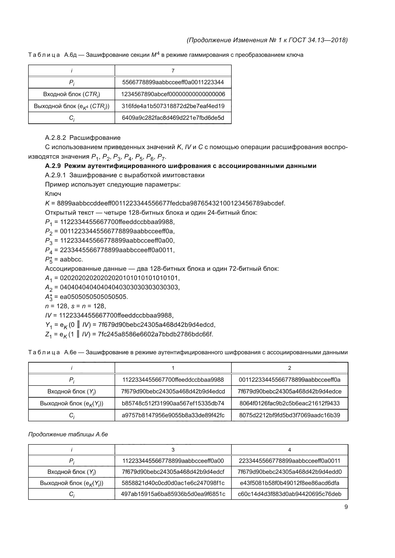
| Приложение №1: | Изменение №1 к ГОСТ 34.13-2018 |
| Приложение №2: | Поправка к ГОСТ 34.13-2018 |
|