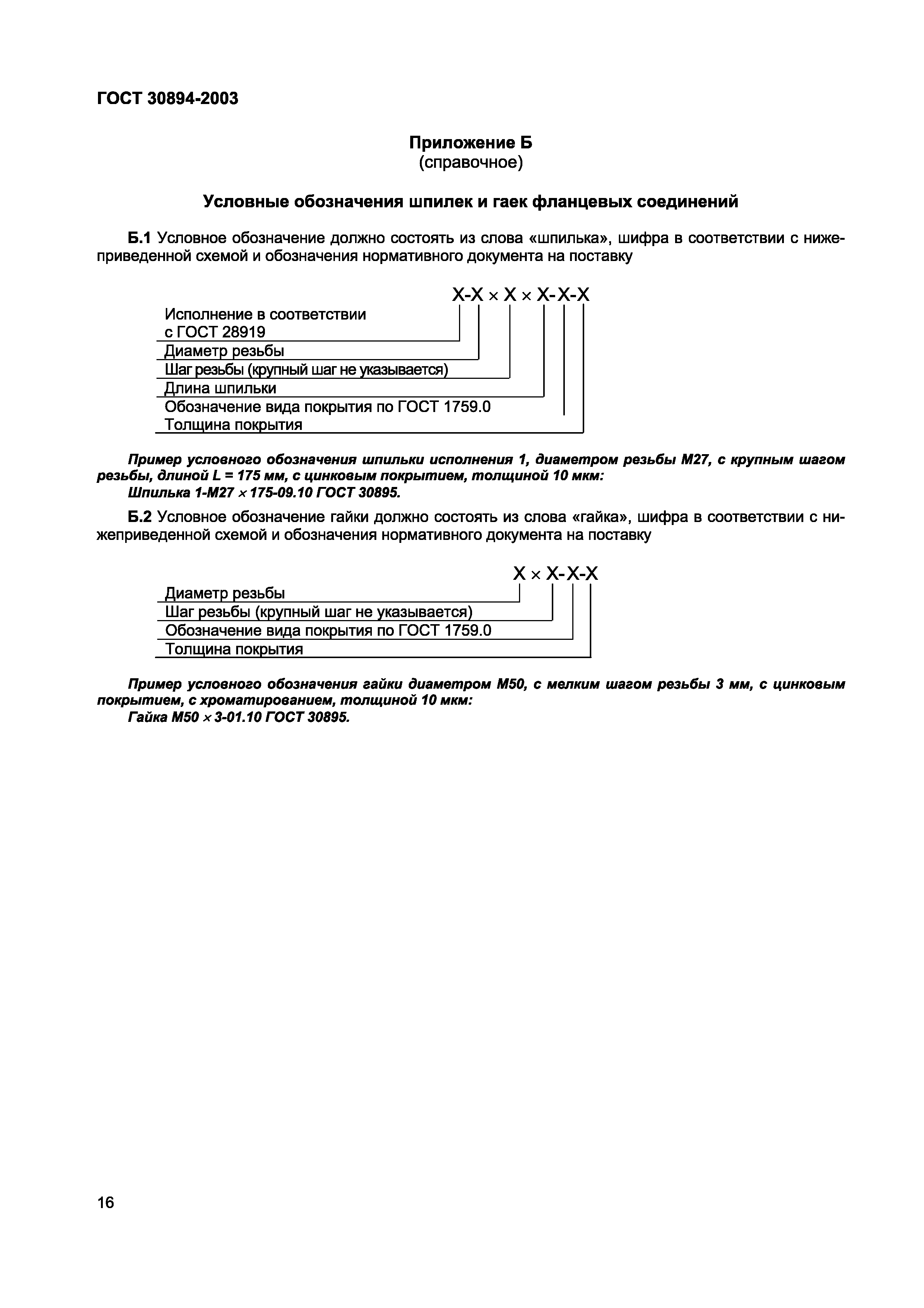
Скачать ГОСТ 30894-2003 Оборудование устьевое добычное. Общие технические требованияДата актуализации: 01.06.2025 ГОСТ 30894-2003
Оборудование устьевое добычное. Общие технические требования
| Обозначение: |  ГОСТ 30894-2003 |
| Статус: | утверждён |
| Название рус.: | Оборудование устьевое добычное. Общие технические требования | | Дата актуализации текста: | 01.01.2019 | | Дата актуализации описания: | 01.01.2019 | | Дата введения: | 01.08.2009 | |
                        
|