| Обозначение: |  ГОСТ 33421-2015 |
| Статус: | действующий |
| Название рус.: | Колодки тормозные композиционные и металлокерамические для железнодорожного подвижного состава. Общие технические условия |
| Дата актуализации текста: | 01.01.2021 |
| Дата актуализации описания: | 01.07.2023 |
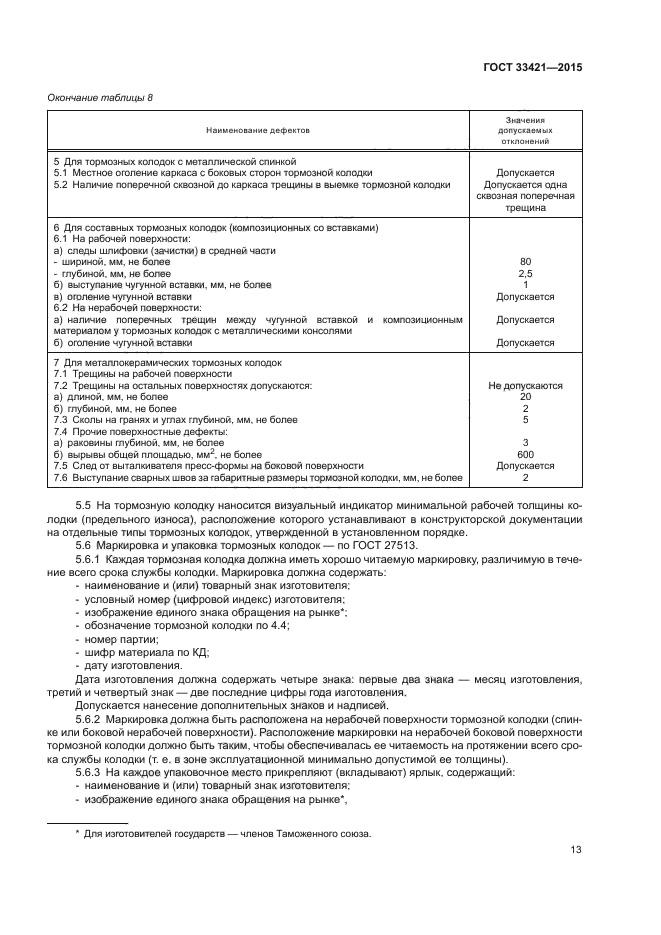
| Дата регистрации: | 22.07.2015 |
| Дата издания: | 11.10.2019 |
| Дата введения: | 01.02.2020 |
| Нормативные ссылки: | ГОСТ 8.050; ГОСТ 8.051; ГОСТ 166; ГОСТ 1203; ГОСТ 3269; ГОСТ 5378; ГОСТ 8050; ГОСТ 9012; ГОСТ 10791; ГОСТ 12162; ГОСТ 14192; ГОСТ 15150; ГОСТ 17299; ГОСТ 18300; ГОСТ 27513; ГОСТ 30632 |
| Область применения: | Настоящий стандарт распространяется на композиционные и металлокерамические тормозные колодки (далее - тормозные колодки), предназначенные для железнодорожного подвижного состава, эксплуатируемого на железных дорогах шириной колеи 1520 мм при температуре окружающей среды от плюс 60°C до минус 60°C |
|