| Обозначение: |  ГОСТ 24401-80 |
| Статус: | действующий |
| Название рус.: | Брусья для пресс-форм. Конструкция и размеры |
| Название англ.: | Casting die beams. Construction and dimensions |
| Дата актуализации текста: | 06.04.2015 |
| Дата актуализации описания: | 01.07.2023 |
| Дата издания: | 01.03.2004 |
| Дата введения: | 01.01.1982 |
| Код ОКП: | 396370 |
| Нормативные ссылки: | ГОСТ 380-94; ГОСТ 977-88; ГОСТ 1050-88; ГОСТ 2789-73; ГОСТ 3212-92; ГОСТ 4751-73; ГОСТ 15863-81; ГОСТ 16093-81; ГОСТ 24643-81; ГОСТ 26645-85 |
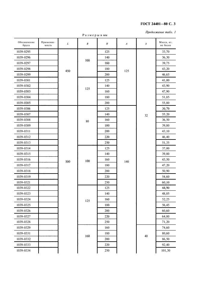
| Область применения: | Настоящий стандарт распространяется на литые брусья и брусья из проката для прессования и литья под давлением в пресс-формах изделий из пластмасс и сплавов цветных металлов |
| Список изменений: | №1 от 01.01.1987 (рег. 08.09.1986) «Срок действия продлен» |
|