| Обозначение: |  ГОСТ 23544-84 |
| Статус: | действующий |
| Название рус.: | Жгуты проводов для автотракторного электрооборудования. Общие технические условия |
| Название англ.: | Ropes of wires for autotractor electrical equipment. General specifications |
| Дата актуализации текста: | 06.04.2015 |
| Дата актуализации описания: | 01.07.2023 |
| Дата издания: | 01.01.2002 |
| Дата введения: | 01.01.1987 |
| Код ОКП: | 358400 |
| Взамен: | ГОСТ 23544-79 |
| Нормативные ссылки: | ГОСТ 15.001-88; ГОСТ 20.57.406-81; ГОСТ 166-89; ГОСТ 427-75; ГОСТ 860-75; ГОСТ 7855-84; ГОСТ 8828-89; ГОСТ 12177-79; ГОСТ 15150-69; ГОСТ 16214-86; ГОСТ 17515-72; ГОСТ 18242-72; ГОСТ 18620-80; ГОСТ 19034-82; ГОСТ 21930-76; ГОСТ 21931-76; ГОСТ 22261-94; ГОСТ 23216-78 |
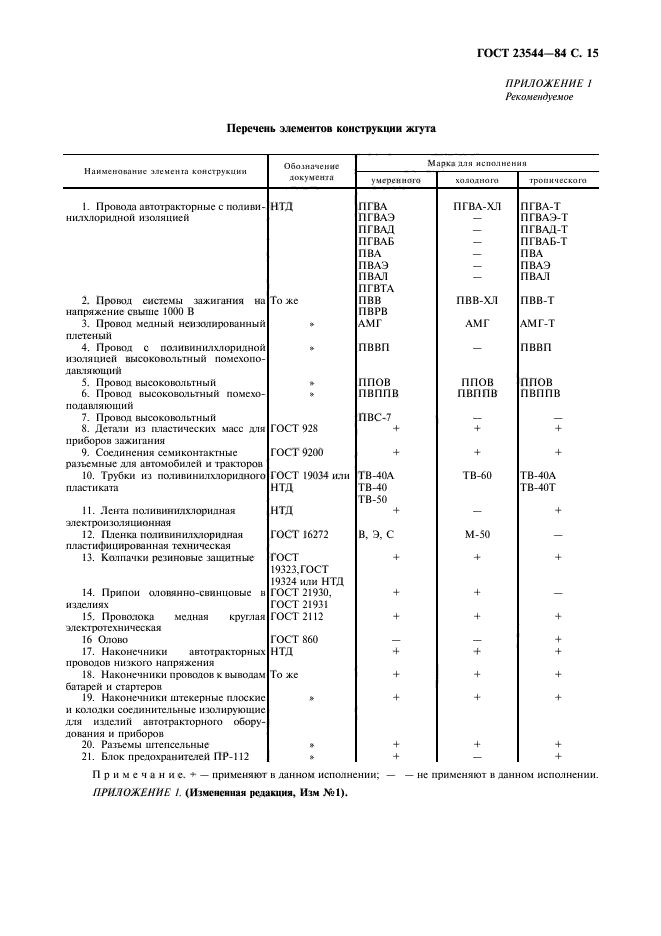
| Область применения: | Настоящий стандарт распространяется на жгуты проводов, предназначенные для соединения электрических схем изделий автотракторного электрооборудования. Настоящий стандарт распространяется также на армированные провода |
| Список изменений: | №1 от 01.10.1988 (рег. 26.04.1988) «Срок действия продлен» |
|