| Обозначение: |  ГОСТ 26631-85 |
| Статус: | действующий |
| Название рус.: | Аппаратура факсимильная со средствами сокращения избыточности для передачи и приема фотофаксимильной информации. Основные параметры |
| Название англ.: | Facsimile apparatus with redundancy reduction means for photofacsimile information transmission and reception. Basic parameters |
| Дата актуализации текста: | 06.04.2015 |
| Дата актуализации описания: | 01.07.2023 |
| Дата издания: | 01.12.2001 |
| Дата введения: | 01.01.1987 |
| Код ОКП: | 665570 |
| Нормативные ссылки: | ГОСТ 12922-77; ГОСТ 2.301-68;Рекомендация V.23 CCITT;Рекомендация V.26 CCITT;Рекомендация V.26 bis CCITT;Рекомендация V.27 CCITT;Рекомендация V.27 bis CCITT;Рекомендация V.27 ter CCITT;Рекомендация V.32 CCITT;Рекомендация V.33 CCITT |
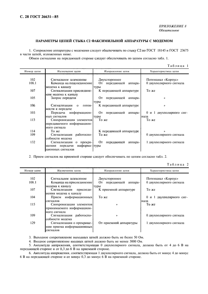
| Область применения: | Настоящий стандарт распространяется на факсимильную аппаратуру со средствами сокращения избыточности для передачи и приема фотофаксимильной информации типа 2, группы 3, подгруппы 1 по ГОСТ 12922, предназначенную для цифровой факсимильной связи по телефонной сети общего пользования и ведомственным телефонным сетям с отдельными или встроенными модемами по Рекомендациям МККТТ V.26, V.27, V.27-бис, V.33 при работе по арендованным каналам и V.23, V.26-бис, V.27-тер V.32 при работе по коммутируемым телефонным каналам, а также по волокoнно-оптическим соединительным линиям связи (ВОСЛС) и первичным цифровым трактам связи, и устанавливает ее основные параметры |
| Список изменений: | №1 от 01.06.1988 (рег. 15.12.1987) «Срок действия продлен» №2 от 01.01.1992 (рег. 14.08.1991) «Срок действия продлен» |
|