Скачать ГОСТ 31610.39-2017 Взрывоопасные среды. Часть 39. Искробезопасные системы с электронным ограничением длительности искрового разряда

Дата актуализации: 01.06.2025

ГОСТ 31610.39-2017

Взрывоопасные среды. Часть 39. Искробезопасные системы с электронным ограничением длительности искрового разряда

Обозначение: ГОСТ 31610.39-2017
Статус:действующий
Название рус.:Взрывоопасные среды. Часть 39. Искробезопасные системы с электронным ограничением длительности искрового разряда
Название англ.:Explosive atmospheres. Part 39. Intrinsically safe systems with electronically controlled spark duration limitation
Дата актуализации текста:01.01.2021
Дата актуализации описания:01.07.2023
Дата регистрации:30.11.2017
Дата издания:29.11.2018
Дата введения:01.06.2019
Содержит требования:IEC/TS 60079-39(2015)
Нормативные ссылки:ГОСТ 31610.0-2014;ГОСТ 31610.11-2014;ГОСТ IEC 60079-14-2013;ГОСТ IEC 60079-25-2016
Область применения:Настоящий стандарт устанавливает требования к конструкции, проведению испытаний, монтажу и техническому обслуживанию оборудования и систем Power-i, в которых применяется электронное ограничение длительности искрового разряда для обеспечения необходимого уровня искробезопасности. Настоящий стандарт устанавливает требования к искробезопасному оборудованию и проводке, предназначенным для применения во взрывоопасных средах и к связанному оборудованию, предназначенному для подключения к искробезопасным цепям, которые располагаются во взрывоопасных средах. Требования настоящего стандарта не распространяются на уровень взрывозащиты «ia», а также цепи с программным управлением. Настоящий стандарт распространяется на электрооборудование, работающее при напряжении не более 40 В постоянного тока, и с коэффициентом безопасности 1,5 групп и подгрупп IIB, IIA, I и III, а также на оборудование «ic» подгруппы IIC с коэффициентом безопасности 1,0. В отношении оборудования «ib» подгруппы IIC с коэффициентом безопасности 1,5 данный стандарт может применяться только при напряжении не более 32 В постоянного тока. Данный вид взрывозащиты применяют на электрооборудовании, электрические цепи которого не способны сами привести к взрыву окружающей взрывоопасной среды. Настоящий стандарт распространяется на искробезопасное оборудование и системы, в которых применяется электронное ограничение длительности искрового разряда для обеспечения большей электрической мощности при поддержании необходимого уровня безопасности. Настоящий стандарт также распространяется на электрооборудование или части электрооборудования, расположенные вне взрывоопасной среды или имеющие другой вид взрывозащиты из стандартов ГОСТ, разработанных на основе серии стандартов IEC 60079, когда искробезопасность электрических цепей во взрывоопасных средах может зависеть от проектирования и конструкции подобного электрооборудования или его частей. Настоящий стандарт применяют для оценки возможности применения электрических цепей во взрывоопасных средах. Настоящий стандарт дополняет и изменяет требования ГОСТ 31610.0, ГОСТ 31610.11, ГОСТ IEC 60079-14, ГОСТ IEC 60079-17 и ГОСТ IEC 60079-25
Приложение №1:Поправка к ГОСТ 31610.39-2017
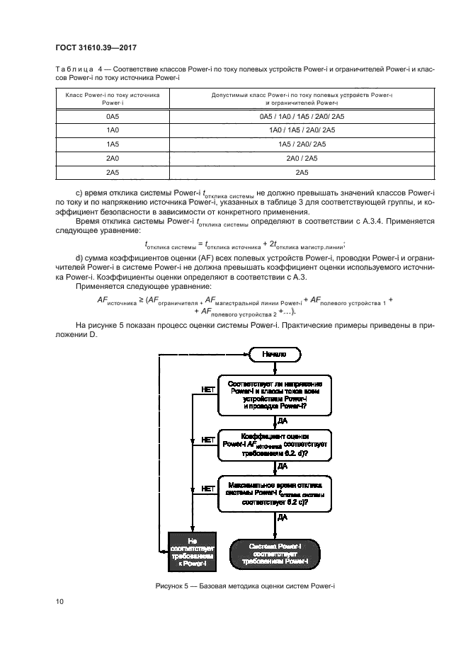
ГОСТ 31610.39-2017ГОСТ 31610.39-2017ГОСТ 31610.39-2017ГОСТ 31610.39-2017ГОСТ 31610.39-2017ГОСТ 31610.39-2017ГОСТ 31610.39-2017ГОСТ 31610.39-2017ГОСТ 31610.39-2017ГОСТ 31610.39-2017ГОСТ 31610.39-2017ГОСТ 31610.39-2017ГОСТ 31610.39-2017ГОСТ 31610.39-2017ГОСТ 31610.39-2017ГОСТ 31610.39-2017ГОСТ 31610.39-2017ГОСТ 31610.39-2017ГОСТ 31610.39-2017ГОСТ 31610.39-2017ГОСТ 31610.39-2017ГОСТ 31610.39-2017ГОСТ 31610.39-2017ГОСТ 31610.39-2017ГОСТ 31610.39-2017ГОСТ 31610.39-2017ГОСТ 31610.39-2017ГОСТ 31610.39-2017ГОСТ 31610.39-2017ГОСТ 31610.39-2017ГОСТ 31610.39-2017ГОСТ 31610.39-2017ГОСТ 31610.39-2017ГОСТ 31610.39-2017ГОСТ 31610.39-2017ГОСТ 31610.39-2017ГОСТ 31610.39-2017ГОСТ 31610.39-2017ГОСТ 31610.39-2017ГОСТ 31610.39-2017ГОСТ 31610.39-2017ГОСТ 31610.39-2017ГОСТ 31610.39-2017ГОСТ 31610.39-2017ГОСТ 31610.39-2017ГОСТ 31610.39-2017

Поправка к ГОСТ 31610.39-2017

Обозначение:Поправка к ГОСТ 31610.39-2017
Дата введения:13.03.2020


Поправка к ГОСТ 31610.39-2017