| Обозначение: |  ГОСТ ISO 10993-3-2018 |
| Статус: | действующий |
| Название рус.: | Изделия медицинские. Оценка биологического действия медицинских изделий. Часть 3. Исследования генотоксичности, канцерогенности и токсического действия на репродуктивную функцию |
| Название англ.: | Medical levices. Biological evaluation of medical devices. Part 3. Tests for genotoxicity, carcinogenicity and reproductive toxicit |
| Дата актуализации текста: | 01.06.2024 |
| Дата актуализации описания: | 01.07.2023 |
| Дата регистрации: | 30.08.2018 |
| Дата издания: | 16.10.2018 |
| Дата введения: | 01.06.2019 |
| Взамен: | ГОСТ ISO 10993-3-2011 |
| Аутентичен стандартам: | ISO 10993-3:2014 |
| Нормативные ссылки: | ISO 10993-1;ISO 10993-2;ISO 10993-6;ISO 10993-12;ISO 10993-18;OECD 414;OECD 415;OECD 416;OECD 421;OECD 451;OECD 453;OECD 473;OECD 476;OECD 487 |
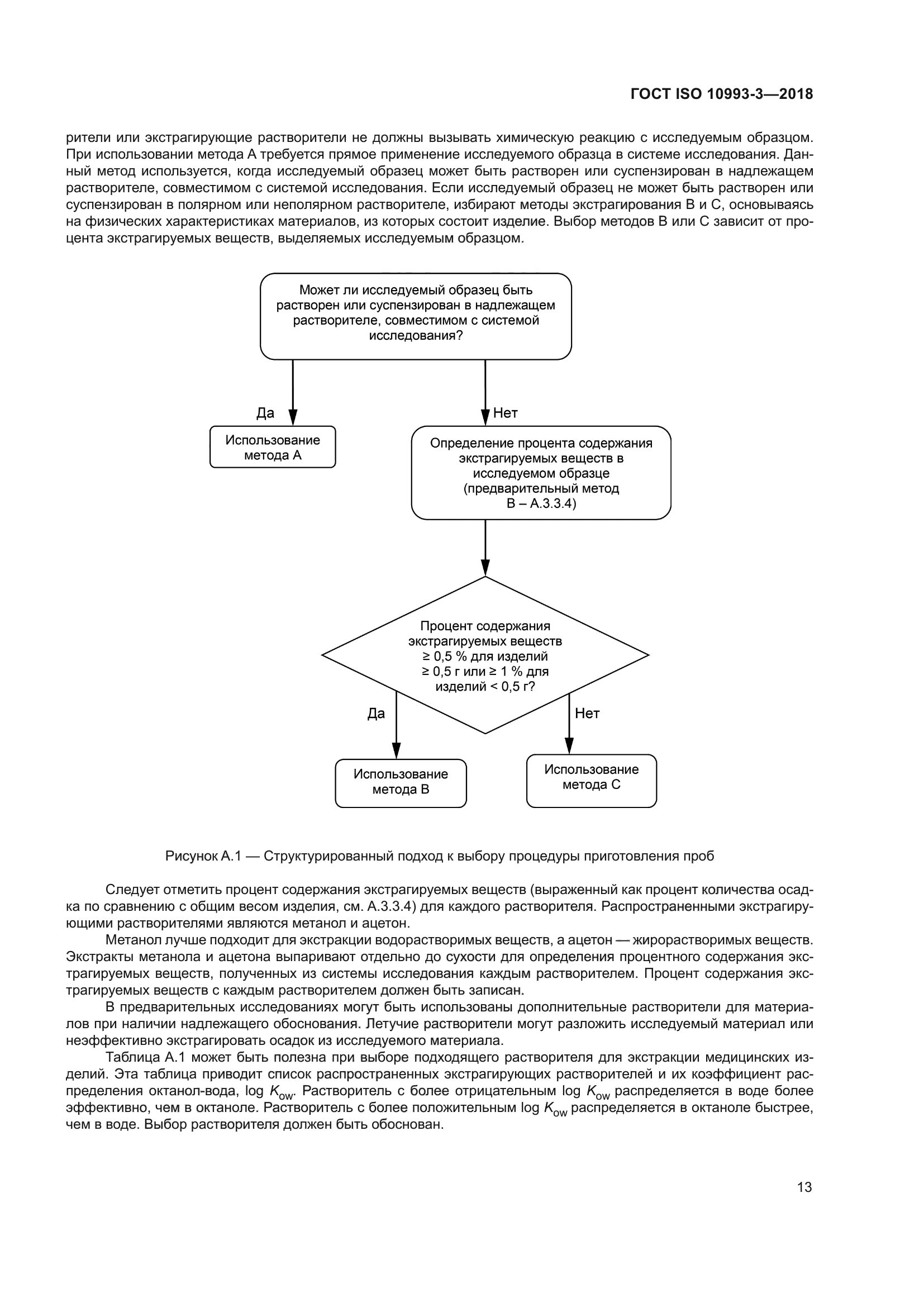
| Область применения: | Настоящий стандарт предназначен для формирования стратегии с целью оценки риска, выбора тестов для определения опасностей и менеджмента риска с точки зрения возможности следующих потенциально необратимых биологических изменений, возникающих в результате воздействия медицинских изделий: - генотоксичности; - канцерогенности; - токсического действия на репродуктивную функцию и развитие. Настоящий стандарт применяется для оценки потенциального генотоксического, канцерогенного эффектов или токсического действия на репродуктивную функцию при использовании медицинского изделия |
| Приложение №1: | Поправка к ГОСТ ISO 10993-3-2018 |
|